🇳🇴 🇬🇧 🇩🇪 🇨🇿 🇫🇮

Meteor, poloha: Skjervøy 2023-11-20 21:00:20 UTC

Soubor KML  |  InteraktivnĂ­ mapa

Mapa zobrazuje dráhy meteoru. Světlejší čáry ukazují směry od pozorovacích stanic při objevení se meteoru a tmavší čáry, kde byl naposledy viděn. Modrá šipka značí viditelnou dráhu meteoru.

static map
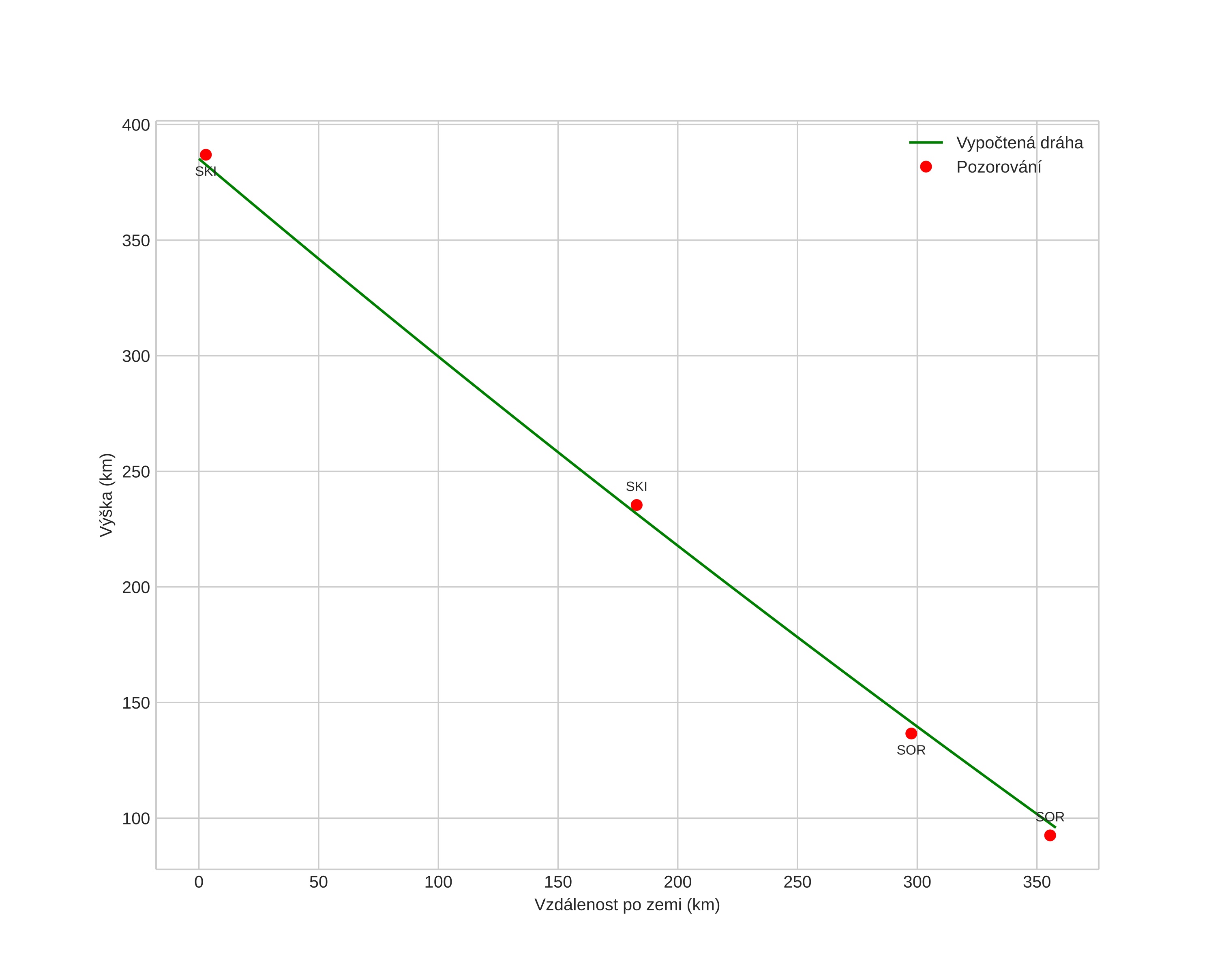
height profile
Atmosférická dráha meteoru:
Počáteční výška: 369,8 km
Konečná výška: 100,9 km
Počáteční poloha: 73,608N 22,890E
Konečná poloha: 70,658N 21,018E
Směr: 191,9°
Sklon: 38,8°
VstupnĂ­ rychlost: 44,6 km/s
Rektascenze radiantu: 13:26 (201,5°)
Deklinace radiantu: 54,1°
MeteorickĂ˝ roj: sporadickĂ˝
Elementy dráhy meteoroidu:
Vzdálenost v periheliu: 0,932 AU
Excentricita: 0,576
Sklon dráhy: 78,5°
Délka vzestupného uzlu: 237,9°
Argument perihelia: 147,7°
Střední anomálie: 7,4°
Epocha: 2023 NOV 20 21:00:20
orbit plot

NeinteraktivnĂ­ graf | InteraktivnĂ­ graf

position vs time
speed and acceleration