🇳🇴 🇬🇧 🇩🇪 🇨🇿 🇫🇮

Meteor Skjervøyn yllä 2023-11-20 21:00:20 UTC

KML-tiedosto  |  Interaktiivinen kartta

Kartta näyttää meteorin suuntahavainnot. Vaaleammat viivat näyttävät suunnat havaintoasemilta meteorin ilmestyessä, ja tummemmat viivat näyttävät, missä se viimeksi nähtiin. Sininen nuoli näyttää meteorin näkyvän lennon.

static map
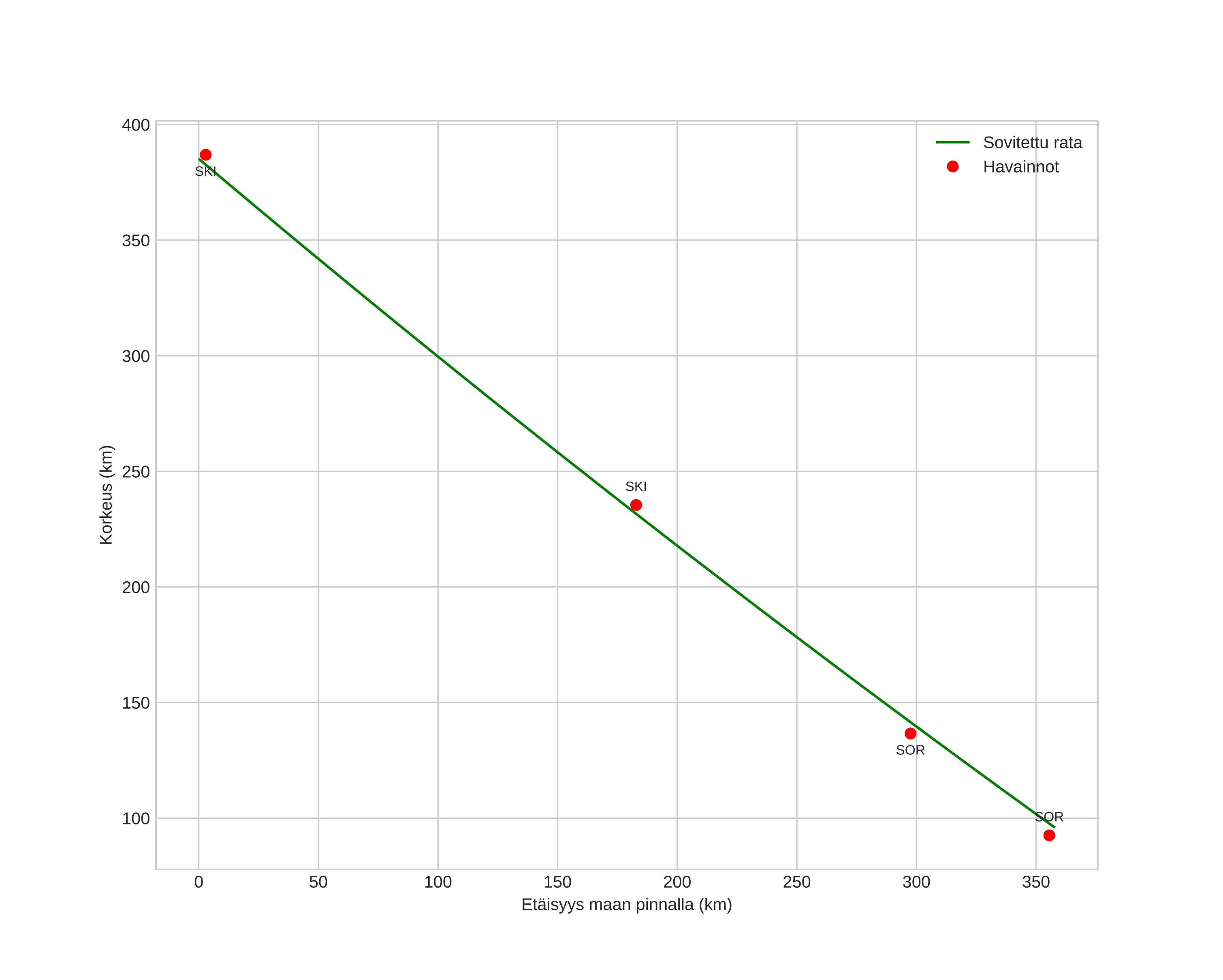
height profile
Meteorin ilmakehärata:
Alkukorkeus: 369,8 km
Loppukorkeus: 100,9 km
Alkupiste: 73,608N 22,890E
Loppupiste: 70,658N 21,018E
Suunta: 191,9°
Kallistuskulma: 38,8°
Tulonopeus: 44,6 km/s
Radiantin R,A,: 13:26 (201,5°)
Radiantin Dekl,: 54,1°
Meteoriparvi: Sporadinen
Meteoroidin rataelementit:
Perihelietäisyys: 0,932 AU
Eksentrisyys: 0,576
Inklinaatio: 78,5°
Nousevan solmun pituus: 237,9°
Perihelin argumentti: 147,7°
Keskianomalia: 7,4°
Epookki: 2023 NOV 20 21:00:20
orbit plot

Ei-interaktiivinen kuvaaja | Interaktiivinen kuvaaja

position vs time
speed and acceleration