🇳🇴 🇬🇧 🇩🇪 🇨🇿 🇫🇮

Meteor, poloha: Hansnes 2023-11-23 00:22:00 UTC

Soubor KML  |  InteraktivnĂ­ mapa

Mapa zobrazuje dráhy meteoru. Světlejší čáry ukazují směry od pozorovacích stanic při objevení se meteoru a tmavší čáry, kde byl naposledy viděn. Modrá šipka značí viditelnou dráhu meteoru.

static map
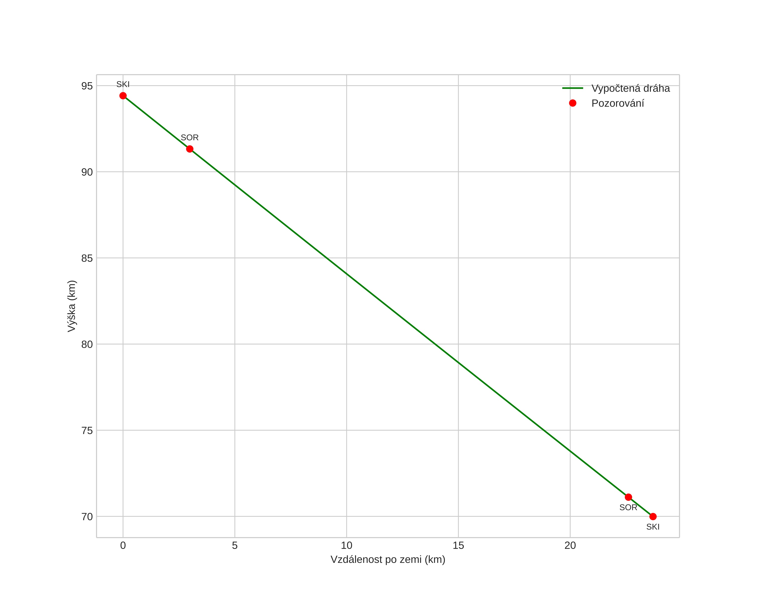
height profile
Atmosférická dráha meteoru:
Počáteční výška: 94,6 km
Konečná výška: 70,0 km
Počáteční poloha: 69,721N 19,430E
Konečná poloha: 69,914N 19,689E
Směr: 24,7°
Sklon: 46,1°
VstupnĂ­ rychlost: 28,1 km/s
Rektascenze radiantu: 04:26 (66,5°)
Deklinace radiantu: 25,2°
MeteorickĂ˝ roj: SevernĂ­ Tauridy
Elementy dráhy meteoroidu:
Vzdálenost v periheliu: 0,423 AU
Excentricita: 0,793
Sklon dráhy: 3,4°
Délka vzestupného uzlu: 240,1°
Argument perihelia: 287,1°
Střední anomálie: 345,1°
Epocha: 2023 NOV 23 00:22:00
orbit plot

NeinteraktivnĂ­ graf | InteraktivnĂ­ graf

position vs time
speed and acceleration