🇳🇴 🇬🇧 🇩🇪 🇨🇿 🇫🇮

Meteor Hansnesin yllä 2023-11-23 00:22:00 UTC

KML-tiedosto  |  Interaktiivinen kartta

Kartta näyttää meteorin suuntahavainnot. Vaaleammat viivat näyttävät suunnat havaintoasemilta meteorin ilmestyessä, ja tummemmat viivat näyttävät, missä se viimeksi nähtiin. Sininen nuoli näyttää meteorin näkyvän lennon.

static map
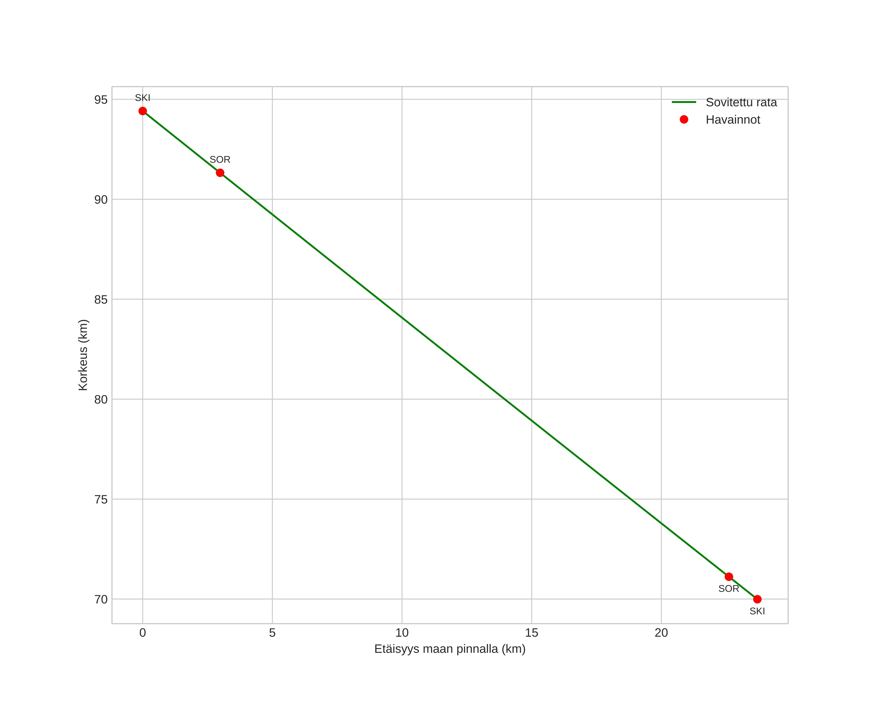
height profile
Meteorin ilmakehärata:
Alkukorkeus: 94,6 km
Loppukorkeus: 70,0 km
Alkupiste: 69,721N 19,430E
Loppupiste: 69,914N 19,689E
Suunta: 24,7°
Kallistuskulma: 46,1°
Tulonopeus: 28,1 km/s
Radiantin R,A,: 04:26 (66,5°)
Radiantin Dekl,: 25,2°
Meteoriparvi: Pohjoiset tauridit
Meteoroidin rataelementit:
Perihelietäisyys: 0,423 AU
Eksentrisyys: 0,793
Inklinaatio: 3,4°
Nousevan solmun pituus: 240,1°
Perihelin argumentti: 287,1°
Keskianomalia: 345,1°
Epookki: 2023 NOV 23 00:22:00
orbit plot

Ei-interaktiivinen kuvaaja | Interaktiivinen kuvaaja

position vs time
speed and acceleration