🇳🇴 🇬🇧 🇩🇪 🇨🇿 🇫🇮

Meteor, poloha: Skagen 2023-11-23 22:26:35 UTC

Soubor KML  |  Interaktivní mapa

Mapa zobrazuje dráhy meteoru. Světlejší čáry ukazují směry od pozorovacích stanic při objevení se meteoru a tmavší čáry, kde byl naposledy viděn. Modrá šipka značí viditelnou dráhu meteoru.

static map
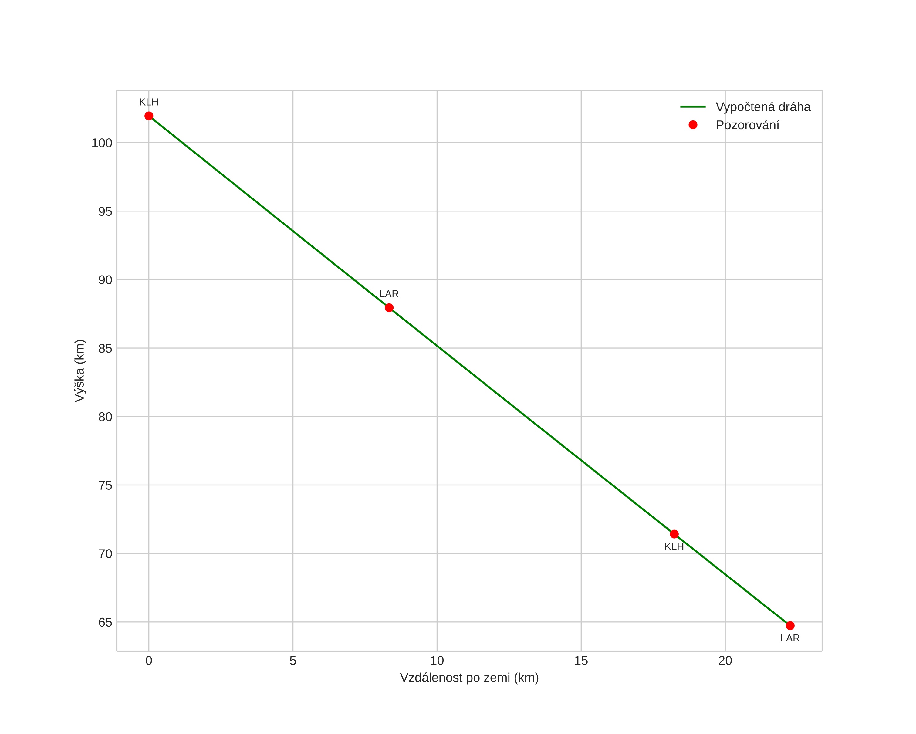
height profile
Atmosférická dráha meteoru:
Počáteční výška: 101,9 km
Konečná výška: 64,9 km
Počáteční poloha: 57,519N 10,820E
Konečná poloha: 57,689N 10,627E
Směr: 328,7°
Sklon: 59,2°
Vstupní rychlost: 27,7 km/s
Rektascenze radiantu: 04:29 (67,3°)
Deklinace radiantu: 27,9°
Meteorický roj: Severní Tauridy
Elementy dráhy meteoroidu:
Vzdálenost v periheliu: 0,432 AU
Excentricita: 0,773
Sklon dráhy: 5,7°
Délka vzestupného uzlu: 241,0°
Argument perihelia: 286,9°
Střední anomálie: 343,1°
Epocha: 2023 NOV 23 22:26:35
orbit plot

Neinteraktivní graf | Interaktivní graf

position vs time
speed and acceleration