🇳🇴 🇬🇧 🇩🇪 🇨🇿 🇫🇮

Meteor Skagenin yllä 2023-11-23 22:26:35 UTC

KML-tiedosto  |  Interaktiivinen kartta

Kartta näyttää meteorin suuntahavainnot. Vaaleammat viivat näyttävät suunnat havaintoasemilta meteorin ilmestyessä, ja tummemmat viivat näyttävät, missä se viimeksi nähtiin. Sininen nuoli näyttää meteorin näkyvän lennon.

static map
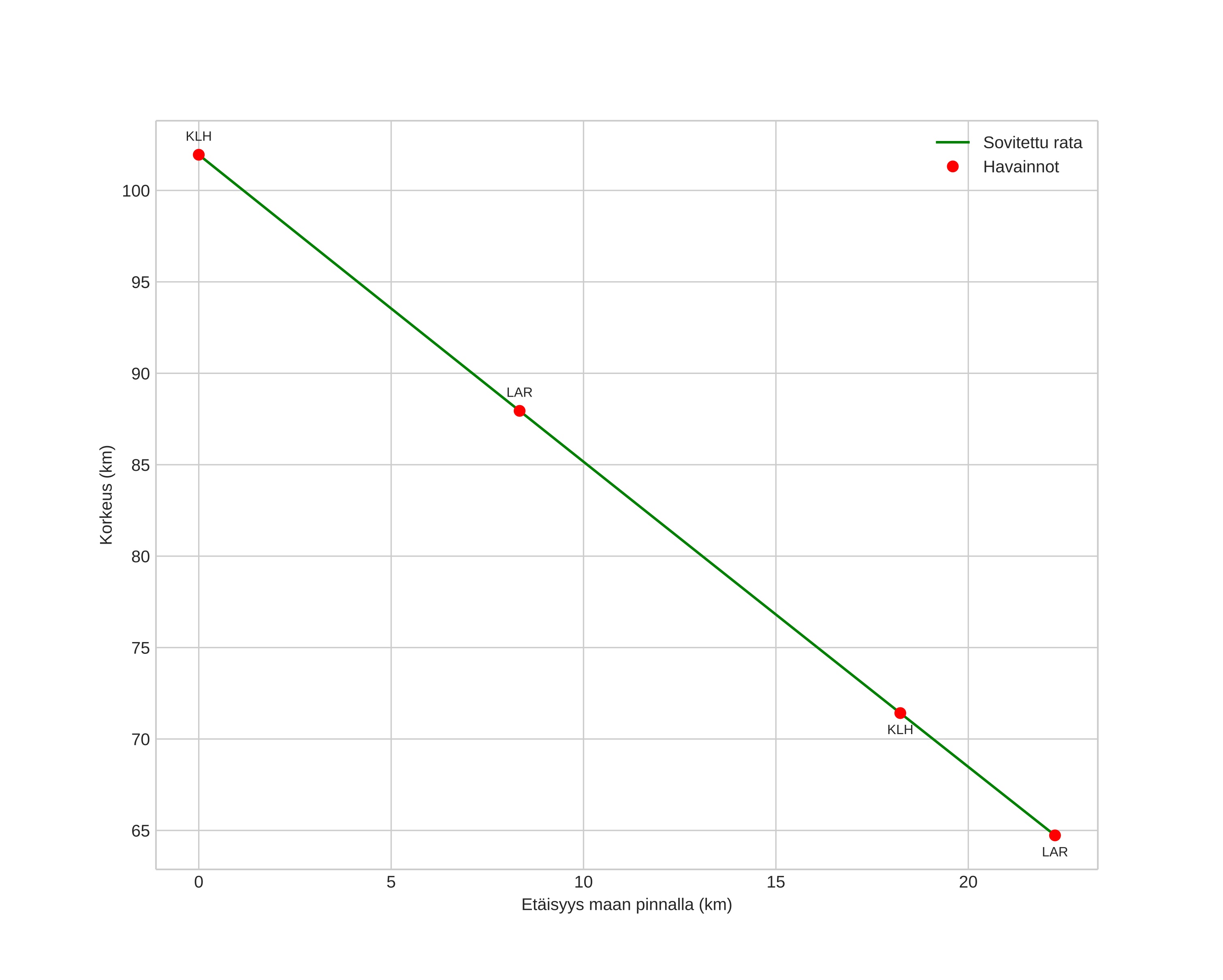
height profile
Meteorin ilmakehärata:
Alkukorkeus: 101,9 km
Loppukorkeus: 64,9 km
Alkupiste: 57,519N 10,820E
Loppupiste: 57,689N 10,627E
Suunta: 328,7°
Kallistuskulma: 59,2°
Tulonopeus: 27,7 km/s
Radiantin R,A,: 04:29 (67,3°)
Radiantin Dekl,: 27,9°
Meteoriparvi: Pohjoiset tauridit
Meteoroidin rataelementit:
Perihelietäisyys: 0,432 AU
Eksentrisyys: 0,773
Inklinaatio: 5,7°
Nousevan solmun pituus: 241,0°
Perihelin argumentti: 286,9°
Keskianomalia: 343,1°
Epookki: 2023 NOV 23 22:26:35
orbit plot

Ei-interaktiivinen kuvaaja | Interaktiivinen kuvaaja

position vs time
speed and acceleration