🇳🇴 🇬🇧 🇩🇪 🇨🇿 🇫🇮

Meteor, poloha: Teigebyen 2023-11-23 23:34:46 UTC

Soubor KML  |  InteraktivnĂ­ mapa

Mapa zobrazuje dráhy meteoru. Světlejší čáry ukazují směry od pozorovacích stanic při objevení se meteoru a tmavší čáry, kde byl naposledy viděn. Modrá šipka značí viditelnou dráhu meteoru.

static map
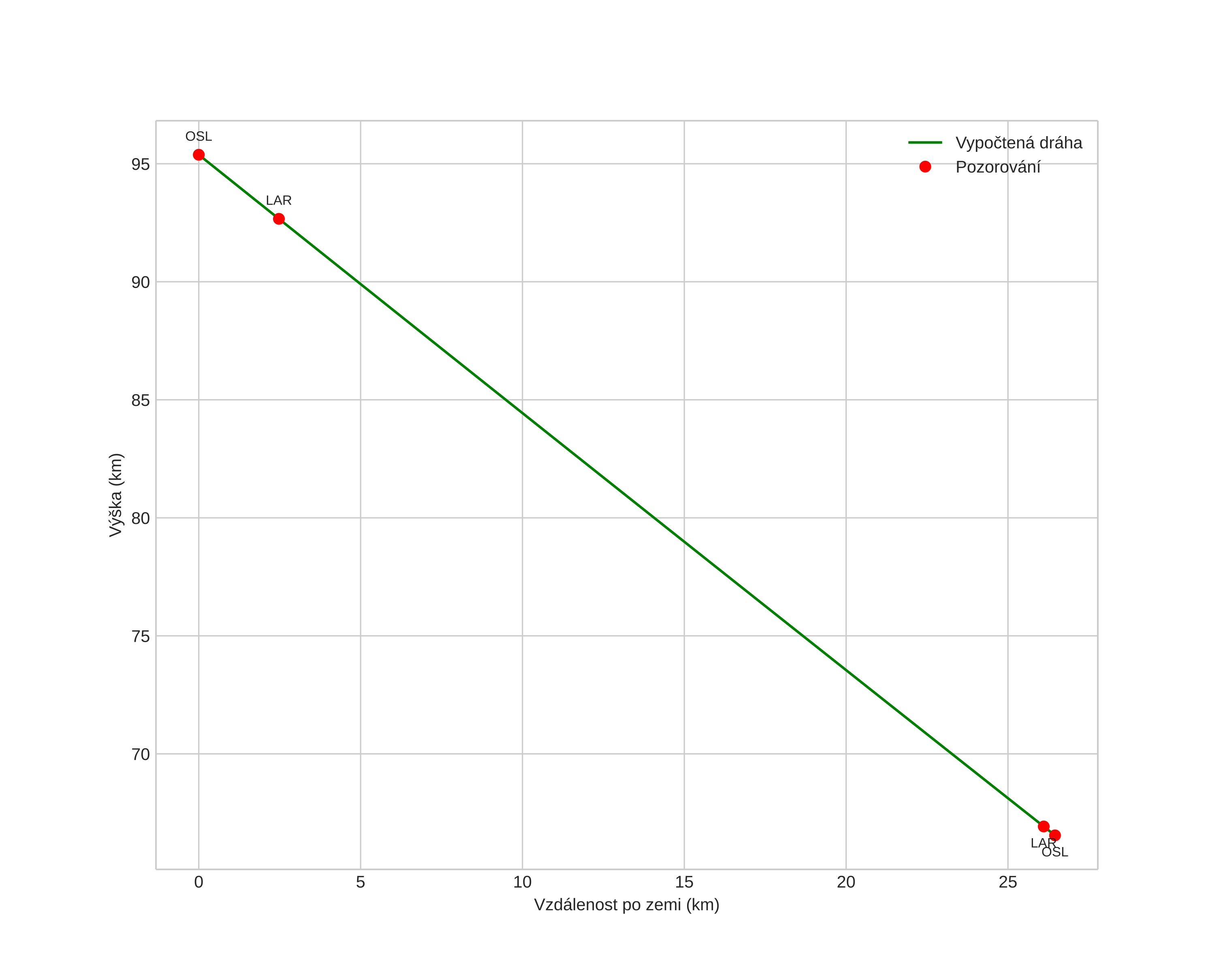
height profile
Atmosférická dráha meteoru:
Počáteční výška: 97,2 km
Konečná výška: 65,5 km
Počáteční poloha: 59,948N 10,967E
Konečná poloha: 60,201N 10,966E
Směr: 359,8°
Sklon: 48,4°
VstupnĂ­ rychlost: 27,8 km/s
Rektascenze radiantu: 04:26 (66,5°)
Deklinace radiantu: 16,3°
MeteorickĂ˝ roj: SevernĂ­ Tauridy
Elementy dráhy meteoroidu:
Vzdálenost v periheliu: 0,461 AU
Excentricita: 0,798
Sklon dráhy: 4,9°
Délka vzestupného uzlu: 61,1°
Argument perihelia: 101,6°
Střední anomálie: 347,4°
Epocha: 2023 NOV 23 23:34:46
orbit plot

NeinteraktivnĂ­ graf | InteraktivnĂ­ graf

position vs time
speed and acceleration