🇳🇴 🇬🇧 🇩🇪 🇨🇿 🇫🇮

Meteor Teigebyenin yllä 2023-11-23 23:34:46 UTC

KML-tiedosto  |  Interaktiivinen kartta

Kartta näyttää meteorin suuntahavainnot. Vaaleammat viivat näyttävät suunnat havaintoasemilta meteorin ilmestyessä, ja tummemmat viivat näyttävät, missä se viimeksi nähtiin. Sininen nuoli näyttää meteorin näkyvän lennon.

static map
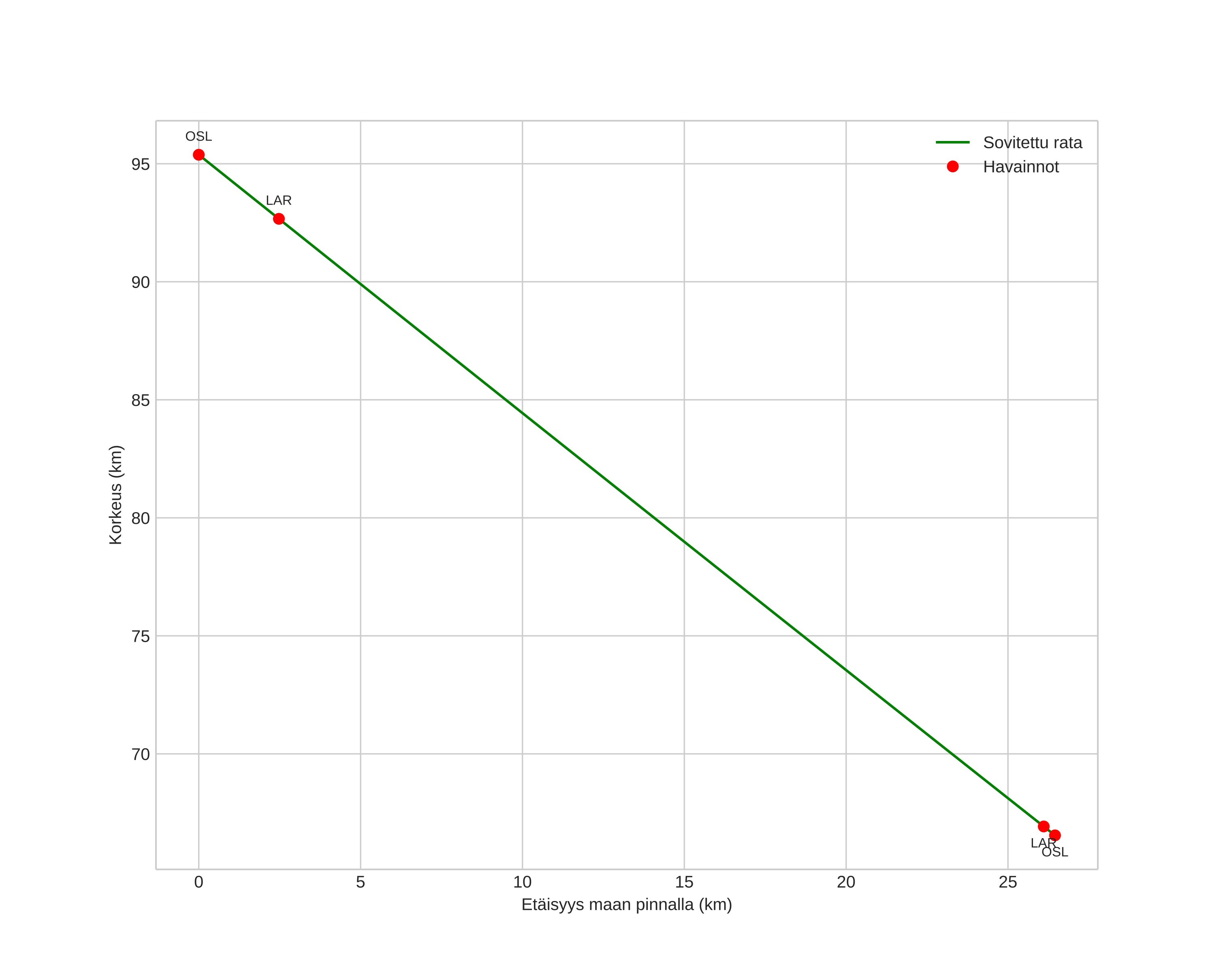
height profile
Meteorin ilmakehärata:
Alkukorkeus: 97,2 km
Loppukorkeus: 65,5 km
Alkupiste: 59,948N 10,967E
Loppupiste: 60,201N 10,966E
Suunta: 359,8°
Kallistuskulma: 48,4°
Tulonopeus: 27,8 km/s
Radiantin R,A,: 04:26 (66,5°)
Radiantin Dekl,: 16,3°
Meteoriparvi: Pohjoiset tauridit
Meteoroidin rataelementit:
Perihelietäisyys: 0,461 AU
Eksentrisyys: 0,798
Inklinaatio: 4,9°
Nousevan solmun pituus: 61,1°
Perihelin argumentti: 101,6°
Keskianomalia: 347,4°
Epookki: 2023 NOV 23 23:34:46
orbit plot

Ei-interaktiivinen kuvaaja | Interaktiivinen kuvaaja

position vs time
speed and acceleration