🇳🇴 🇬🇧 🇩🇪 🇨🇿 🇫🇮

Meteor, poloha: Hol 2023-11-25 04:44:54 UTC

Soubor KML  |  InteraktivnĂ­ mapa

Mapa zobrazuje dráhy meteoru. Světlejší čáry ukazují směry od pozorovacích stanic při objevení se meteoru a tmavší čáry, kde byl naposledy viděn. Modrá šipka značí viditelnou dráhu meteoru.

static map
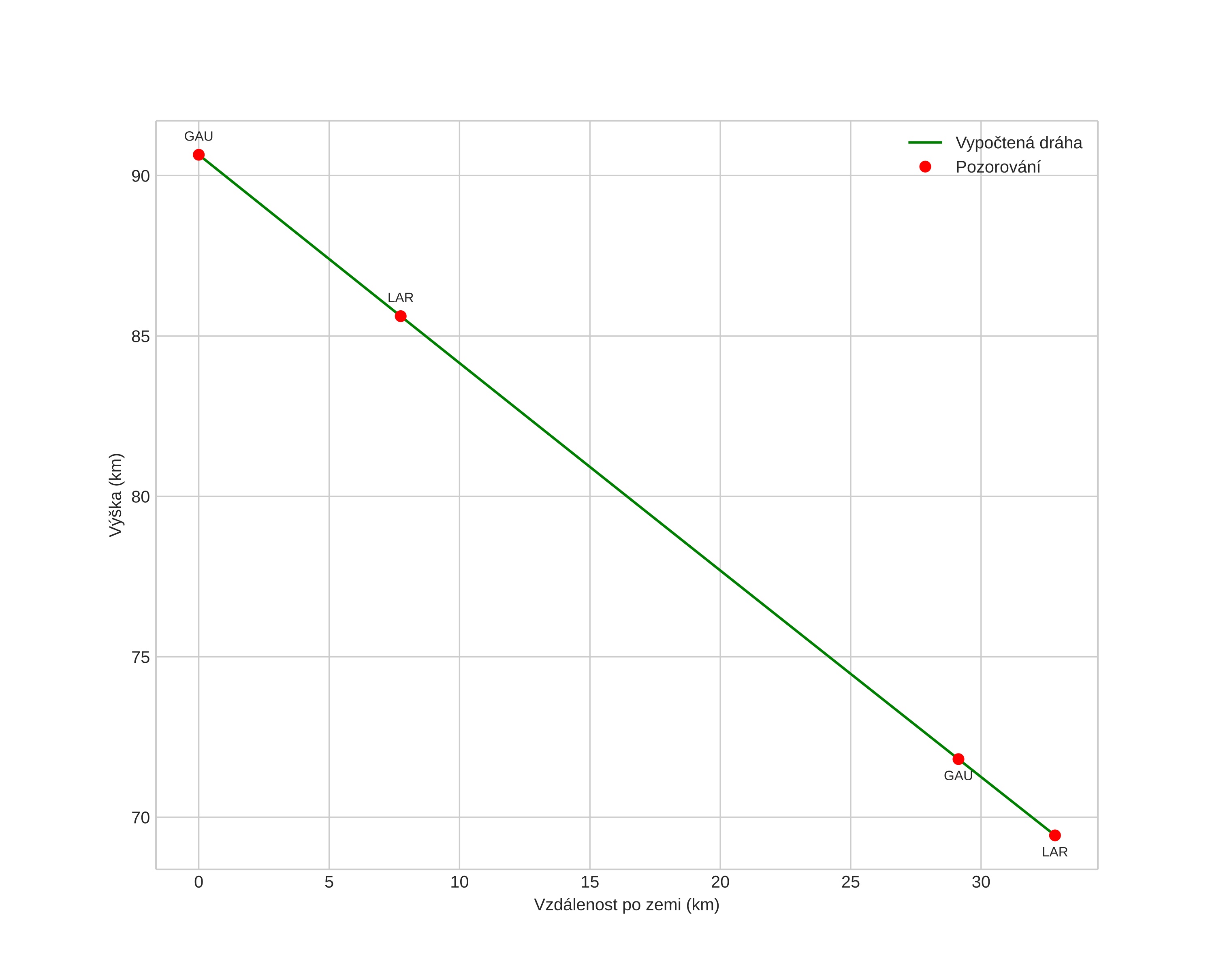
height profile
Atmosférická dráha meteoru:
Počáteční výška: 94,6 km
Konečná výška: 65,1 km
Počáteční poloha: 60,553N 7,517E
Konečná poloha: 60,549N 8,339E
Směr: 90,1°
Sklon: 33,3°
VstupnĂ­ rychlost: 30,2 km/s
Rektascenze radiantu: 04:33 (68,5°)
Deklinace radiantu: 26,5°
MeteorickĂ˝ roj: SevernĂ­ Tauridy
Elementy dráhy meteoroidu:
Vzdálenost v periheliu: 0,403 AU
Excentricita: 0,856
Sklon dráhy: 4,8°
Délka vzestupného uzlu: 242,3°
Argument perihelia: 286,5°
Střední anomálie: 351,2°
Epocha: 2023 NOV 25 04:44:54
orbit plot

NeinteraktivnĂ­ graf | InteraktivnĂ­ graf

position vs time
speed and acceleration