🇳🇴 🇬🇧 🇩🇪 🇨🇿 🇫🇮

Meteor Holin yllä 2023-11-25 04:44:54 UTC

KML-tiedosto  |  Interaktiivinen kartta

Kartta näyttää meteorin suuntahavainnot. Vaaleammat viivat näyttävät suunnat havaintoasemilta meteorin ilmestyessä, ja tummemmat viivat näyttävät, missä se viimeksi nähtiin. Sininen nuoli näyttää meteorin näkyvän lennon.

static map
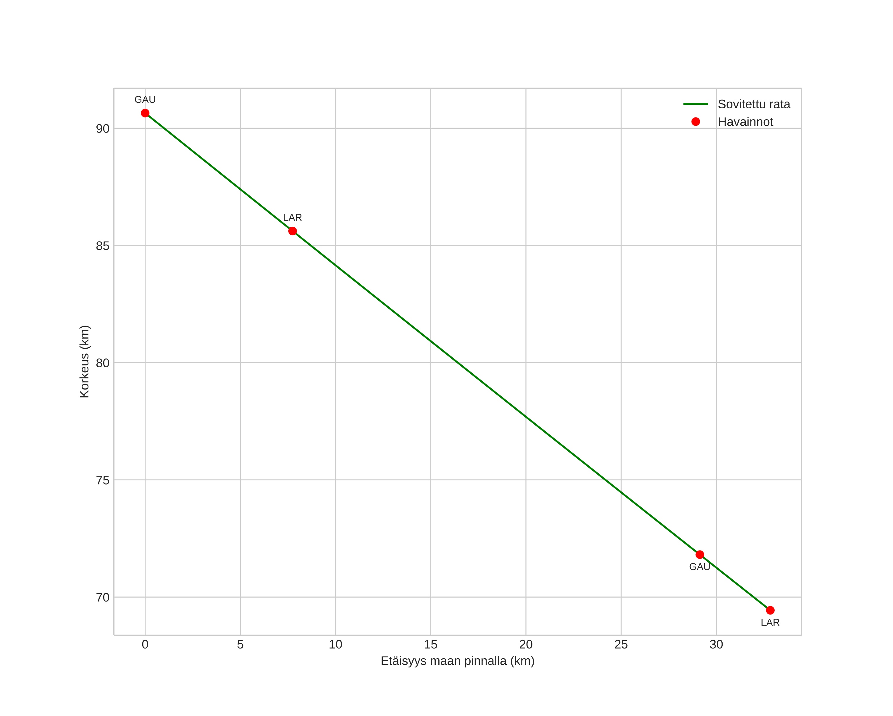
height profile
Meteorin ilmakehärata:
Alkukorkeus: 94,6 km
Loppukorkeus: 65,1 km
Alkupiste: 60,553N 7,517E
Loppupiste: 60,549N 8,339E
Suunta: 90,1°
Kallistuskulma: 33,3°
Tulonopeus: 30,2 km/s
Radiantin R,A,: 04:33 (68,5°)
Radiantin Dekl,: 26,5°
Meteoriparvi: Pohjoiset tauridit
Meteoroidin rataelementit:
Perihelietäisyys: 0,403 AU
Eksentrisyys: 0,856
Inklinaatio: 4,8°
Nousevan solmun pituus: 242,3°
Perihelin argumentti: 286,5°
Keskianomalia: 351,2°
Epookki: 2023 NOV 25 04:44:54
orbit plot

Ei-interaktiivinen kuvaaja | Interaktiivinen kuvaaja

position vs time
speed and acceleration