🇳🇴 🇬🇧 🇩🇪 🇨🇿 🇫🇮

Meteor, poloha: Skagen 2023-11-25 17:43:06 UTC

Soubor KML  |  InteraktivnĂ­ mapa

Mapa zobrazuje dráhy meteoru. Světlejší čáry ukazují směry od pozorovacích stanic při objevení se meteoru a tmavší čáry, kde byl naposledy viděn. Modrá šipka značí viditelnou dráhu meteoru.

static map
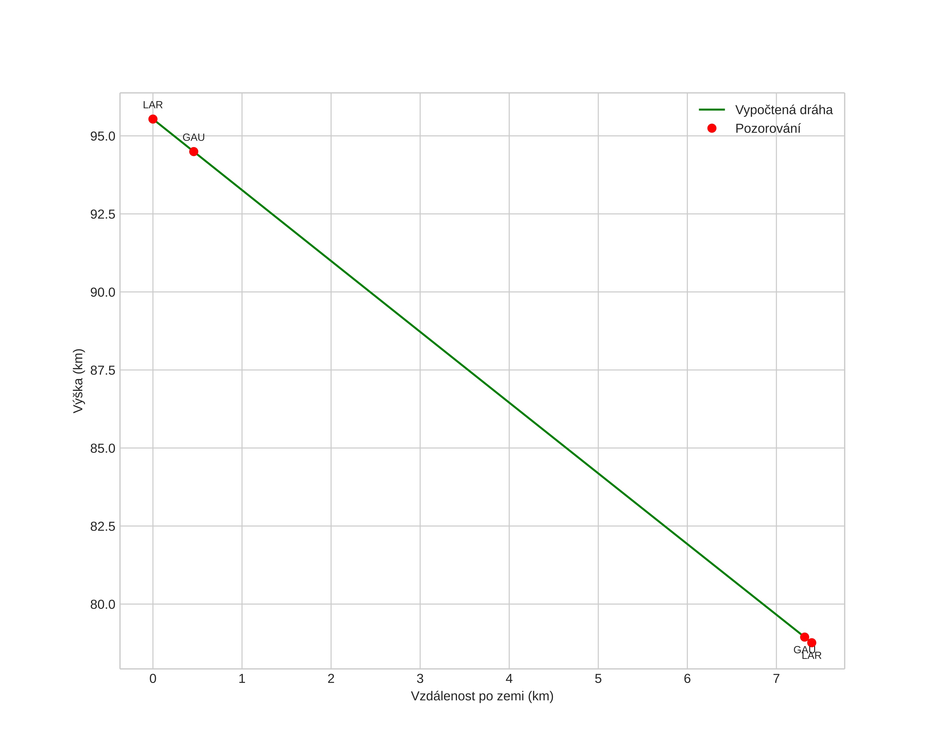
height profile
Atmosférická dráha meteoru:
Počáteční výška: 95,5 km
Konečná výška: 78,8 km
Počáteční poloha: 57,873N 10,556E
Konečná poloha: 57,881N 10,432E
Směr: 276,4°
Sklon: 66,2°
VstupnĂ­ rychlost: 19,9 km/s
Rektascenze radiantu: 01:17 (19,4°)
Deklinace radiantu: 47,4°
MeteorickĂ˝ roj: sporadickĂ˝
Elementy dráhy meteoroidu:
Vzdálenost v periheliu: 0,869 AU
Excentricita: 0,731
Sklon dráhy: 15,0°
Délka vzestupného uzlu: 242,8°
Argument perihelia: 224,2°
Střední anomálie: 354,9°
Epocha: 2023 NOV 25 17:43:06
orbit plot

NeinteraktivnĂ­ graf | InteraktivnĂ­ graf

position vs time
speed and acceleration