🇳🇴 🇬🇧 🇩🇪 🇨🇿 🇫🇮

Meteor Skagenin yllä 2023-11-25 17:43:06 UTC

KML-tiedosto  |  Interaktiivinen kartta

Kartta näyttää meteorin suuntahavainnot. Vaaleammat viivat näyttävät suunnat havaintoasemilta meteorin ilmestyessä, ja tummemmat viivat näyttävät, missä se viimeksi nähtiin. Sininen nuoli näyttää meteorin näkyvän lennon.

static map
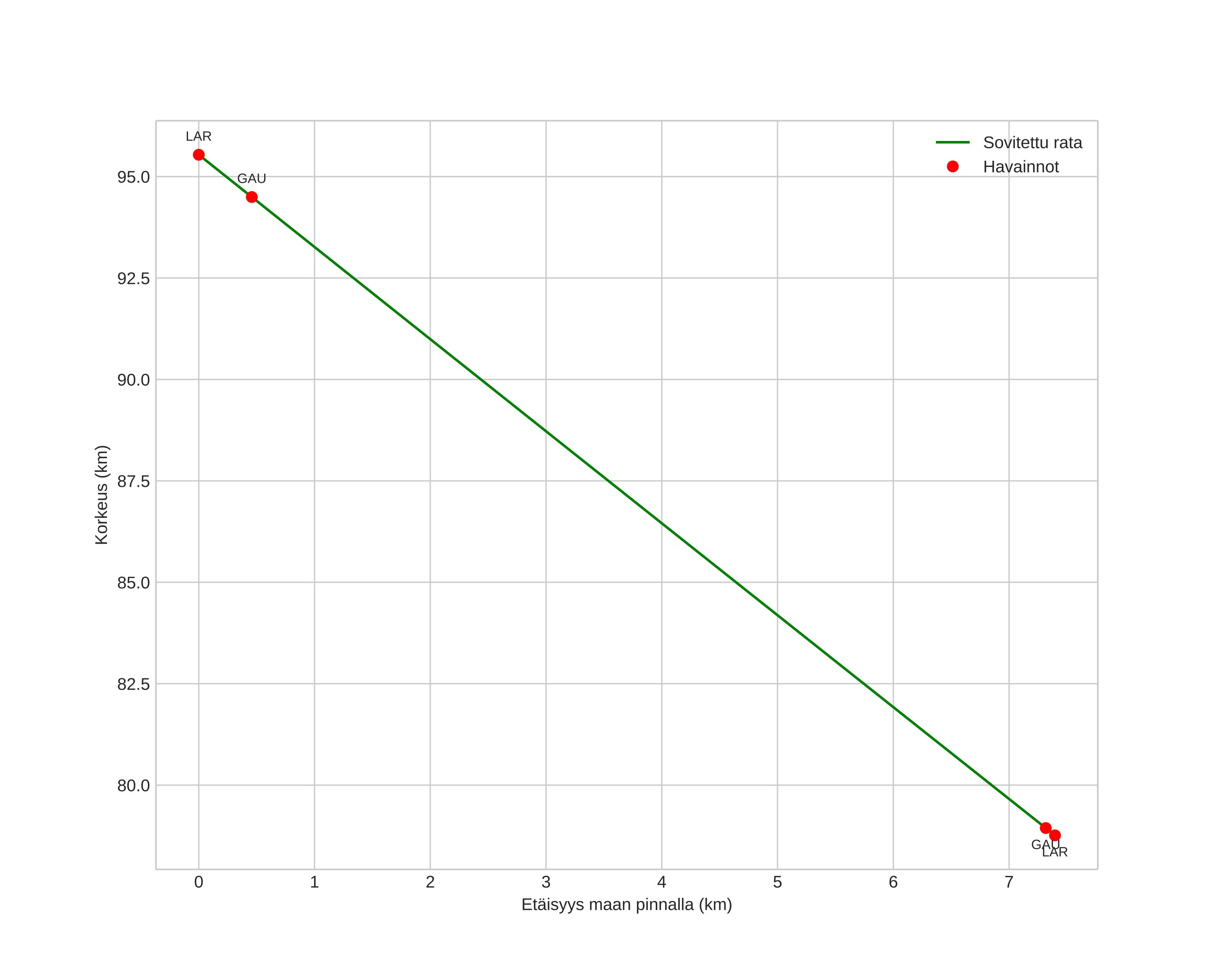
height profile
Meteorin ilmakehärata:
Alkukorkeus: 95,5 km
Loppukorkeus: 78,8 km
Alkupiste: 57,873N 10,556E
Loppupiste: 57,881N 10,432E
Suunta: 276,4°
Kallistuskulma: 66,2°
Tulonopeus: 19,9 km/s
Radiantin R,A,: 01:17 (19,4°)
Radiantin Dekl,: 47,4°
Meteoriparvi: Sporadinen
Meteoroidin rataelementit:
Perihelietäisyys: 0,869 AU
Eksentrisyys: 0,731
Inklinaatio: 15,0°
Nousevan solmun pituus: 242,8°
Perihelin argumentti: 224,2°
Keskianomalia: 354,9°
Epookki: 2023 NOV 25 17:43:06
orbit plot

Ei-interaktiivinen kuvaaja | Interaktiivinen kuvaaja

position vs time
speed and acceleration