🇳🇴 🇬🇧 🇩🇪 🇨🇿 🇫🇮

Meteor, poloha: Innbygda 2023-11-25 19:11:52 UTC

Soubor KML  |  InteraktivnĂ­ mapa

Mapa zobrazuje dráhy meteoru. Světlejší čáry ukazují směry od pozorovacích stanic při objevení se meteoru a tmavší čáry, kde byl naposledy viděn. Modrá šipka značí viditelnou dráhu meteoru.

static map
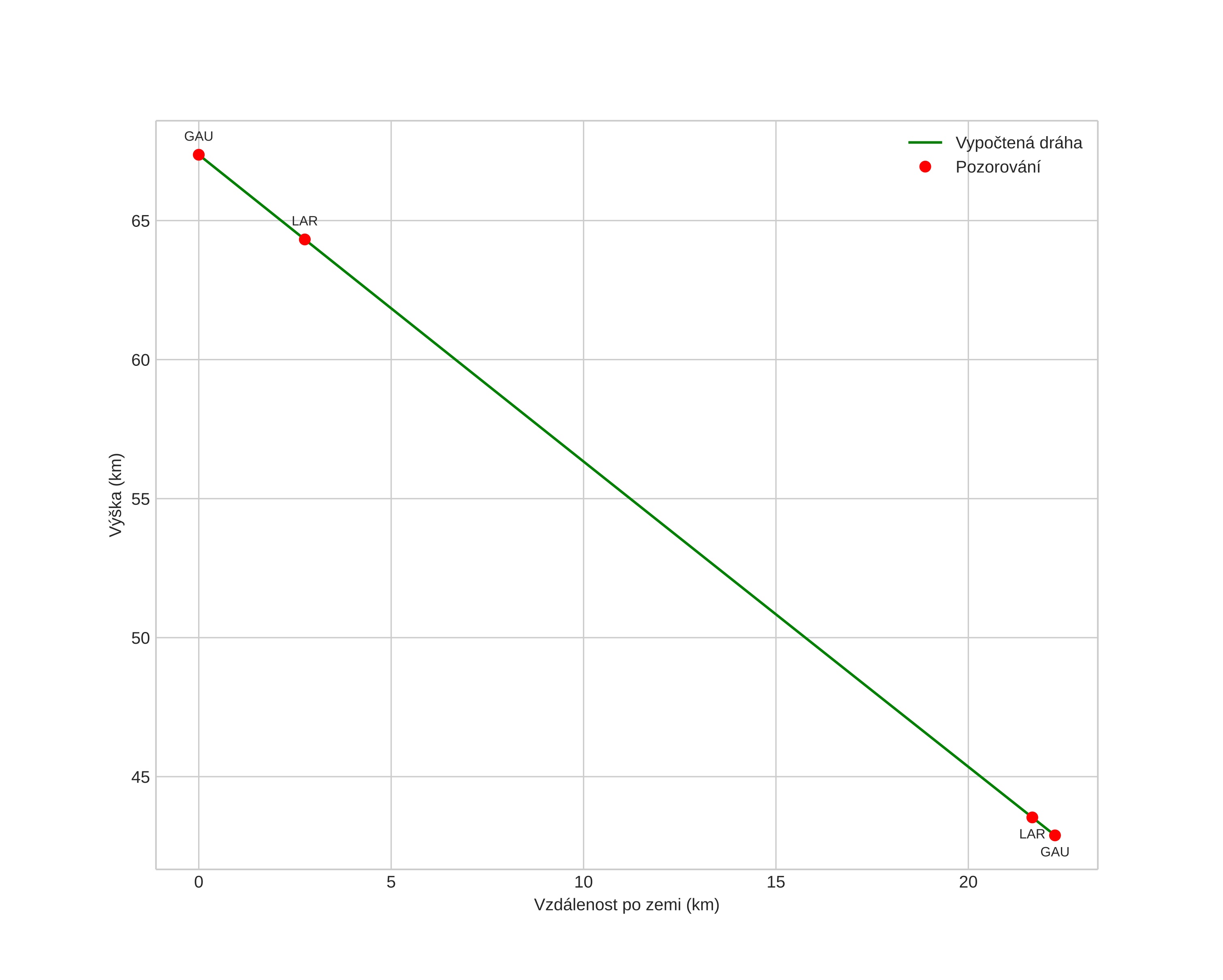
height profile
Atmosférická dráha meteoru:
Počáteční výška: 69,3 km
Konečná výška: 42,5 km
Počáteční poloha: 61,290N 13,042E
Konečná poloha: 61,462N 12,757E
Směr: 321,7°
Sklon: 47,7°
VstupnĂ­ rychlost: 18,5 km/s
Rektascenze radiantu: 02:12 (33,0°)
Deklinace radiantu: 18,5°
MeteorickĂ˝ roj: sporadickĂ˝
Elementy dráhy meteoroidu:
Vzdálenost v periheliu: 0,847 AU
Excentricita: 0,735
Sklon dráhy: 2,0°
Délka vzestupného uzlu: 242,8°
Argument perihelia: 228,5°
Střední anomálie: 354,4°
Epocha: 2023 NOV 25 19:11:52
orbit plot

NeinteraktivnĂ­ graf | InteraktivnĂ­ graf

position vs time
speed and acceleration