🇳🇴 🇬🇧 🇩🇪 🇨🇿 🇫🇮

Meteor Innbygdan yllä 2023-11-25 19:11:52 UTC

KML-tiedosto  |  Interaktiivinen kartta

Kartta näyttää meteorin suuntahavainnot. Vaaleammat viivat näyttävät suunnat havaintoasemilta meteorin ilmestyessä, ja tummemmat viivat näyttävät, missä se viimeksi nähtiin. Sininen nuoli näyttää meteorin näkyvän lennon.

static map
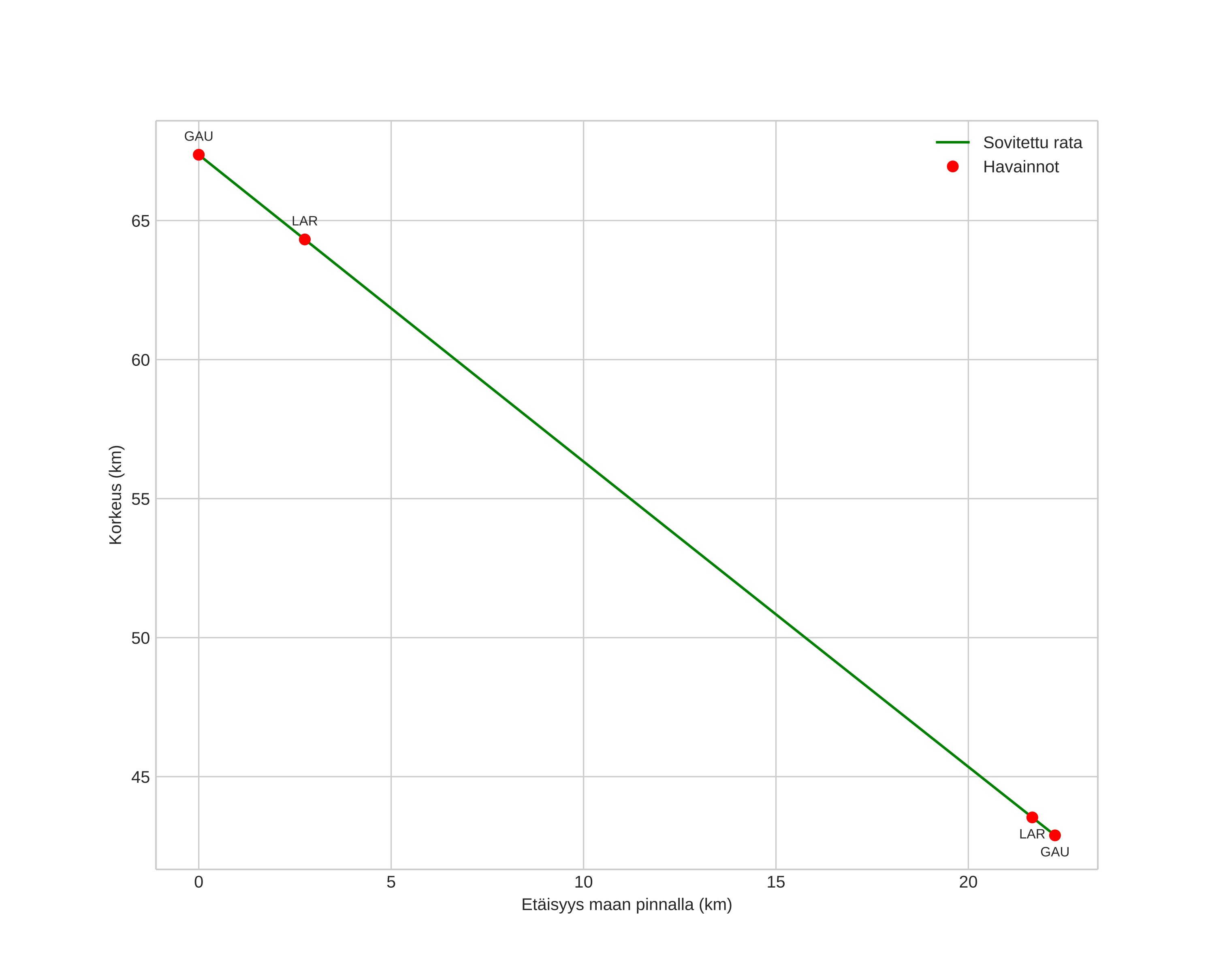
height profile
Meteorin ilmakehärata:
Alkukorkeus: 69,3 km
Loppukorkeus: 42,5 km
Alkupiste: 61,290N 13,042E
Loppupiste: 61,462N 12,757E
Suunta: 321,7°
Kallistuskulma: 47,7°
Tulonopeus: 18,5 km/s
Radiantin R,A,: 02:12 (33,0°)
Radiantin Dekl,: 18,5°
Meteoriparvi: Sporadinen
Meteoroidin rataelementit:
Perihelietäisyys: 0,847 AU
Eksentrisyys: 0,735
Inklinaatio: 2,0°
Nousevan solmun pituus: 242,8°
Perihelin argumentti: 228,5°
Keskianomalia: 354,4°
Epookki: 2023 NOV 25 19:11:52
orbit plot

Ei-interaktiivinen kuvaaja | Interaktiivinen kuvaaja

position vs time
speed and acceleration