🇳🇴 🇬🇧 🇩🇪 🇨🇿 🇫🇮

Meteor, poloha: Segalstad bru 2023-11-26 20:26:52 UTC

Soubor KML  |  InteraktivnĂ­ mapa

Mapa zobrazuje dráhy meteoru. Světlejší čáry ukazují směry od pozorovacích stanic při objevení se meteoru a tmavší čáry, kde byl naposledy viděn. Modrá šipka značí viditelnou dráhu meteoru.

static map
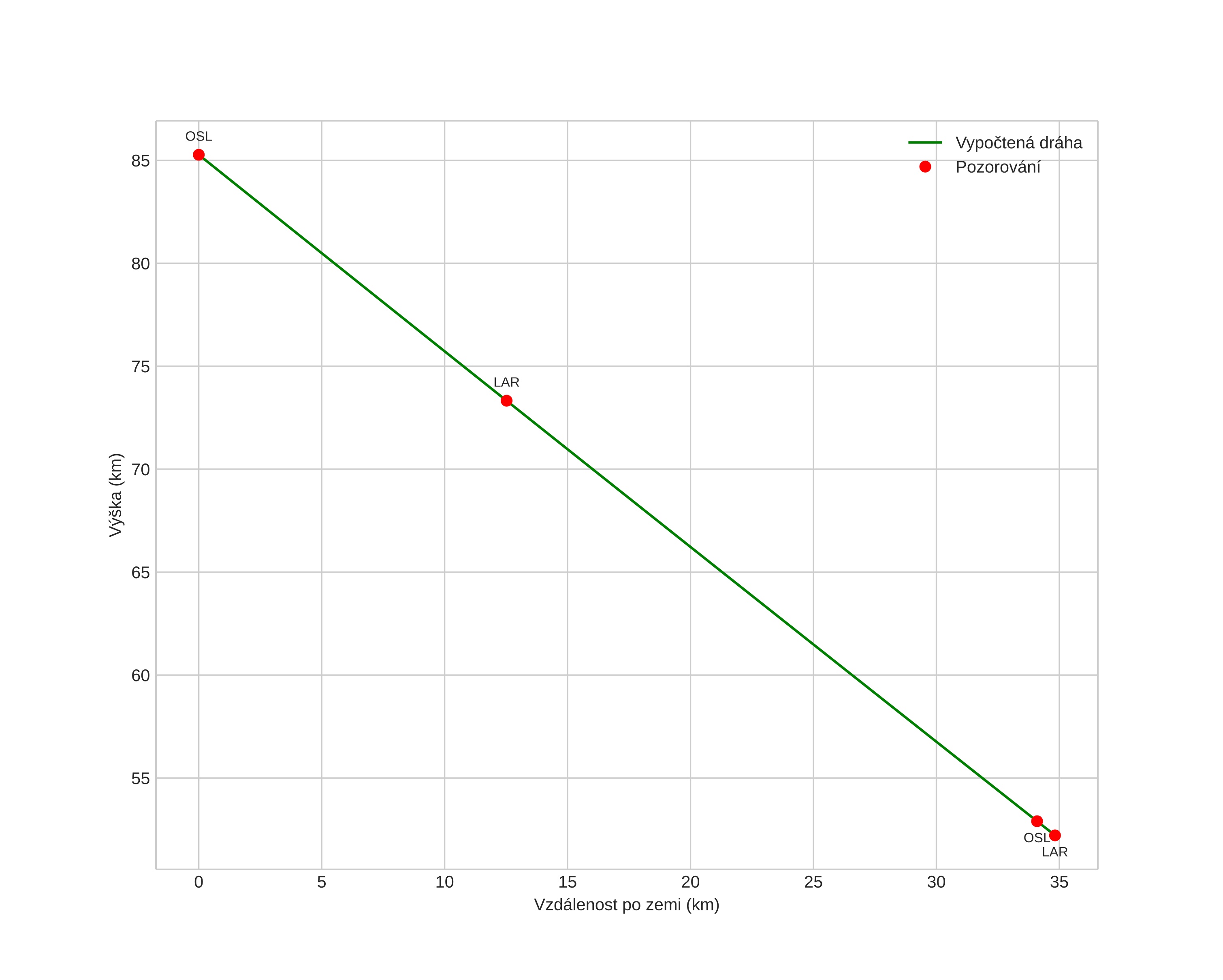
height profile
Atmosférická dráha meteoru:
Počáteční výška: 84,4 km
Konečná výška: 53,0 km
Počáteční poloha: 61,049N 10,515E
Konečná poloha: 61,205N 9,949E
Směr: 299,9°
Sklon: 41,9°
VstupnĂ­ rychlost: 28,0 km/s
Rektascenze radiantu: 04:31 (67,9°)
Deklinace radiantu: 21,9°
MeteorickĂ˝ roj: SevernĂ­ Tauridy
Elementy dráhy meteoroidu:
Vzdálenost v periheliu: 0,466 AU
Excentricita: 0,807
Sklon dráhy: 0,1°
Délka vzestupného uzlu: 240,9°
Argument perihelia: 283,6°
Střední anomálie: 348,6°
Epocha: 2023 NOV 26 20:26:52
orbit plot

NeinteraktivnĂ­ graf | InteraktivnĂ­ graf

position vs time
speed and acceleration