🇳🇴 🇬🇧 🇩🇪 🇨🇿 🇫🇮

Meteor Segalstad brun yllä 2023-11-26 20:26:52 UTC

KML-tiedosto  |  Interaktiivinen kartta

Kartta näyttää meteorin suuntahavainnot. Vaaleammat viivat näyttävät suunnat havaintoasemilta meteorin ilmestyessä, ja tummemmat viivat näyttävät, missä se viimeksi nähtiin. Sininen nuoli näyttää meteorin näkyvän lennon.

static map
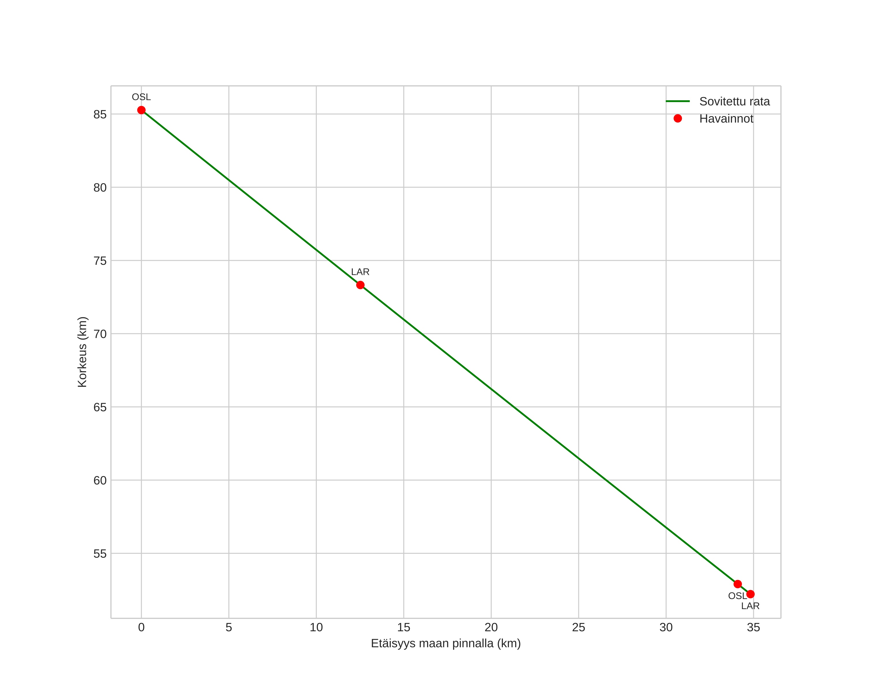
height profile
Meteorin ilmakehärata:
Alkukorkeus: 84,4 km
Loppukorkeus: 53,0 km
Alkupiste: 61,049N 10,515E
Loppupiste: 61,205N 9,949E
Suunta: 299,9°
Kallistuskulma: 41,9°
Tulonopeus: 28,0 km/s
Radiantin R,A,: 04:31 (67,9°)
Radiantin Dekl,: 21,9°
Meteoriparvi: Pohjoiset tauridit
Meteoroidin rataelementit:
Perihelietäisyys: 0,466 AU
Eksentrisyys: 0,807
Inklinaatio: 0,1°
Nousevan solmun pituus: 240,9°
Perihelin argumentti: 283,6°
Keskianomalia: 348,6°
Epookki: 2023 NOV 26 20:26:52
orbit plot

Ei-interaktiivinen kuvaaja | Interaktiivinen kuvaaja

position vs time
speed and acceleration