🇳🇴 🇬🇧 🇩🇪 🇨🇿 🇫🇮

Meteor, poloha: Andenes 2023-11-27 23:52:02 UTC

Soubor KML  |  InteraktivnĂ­ mapa

Mapa zobrazuje dráhy meteoru. Světlejší čáry ukazují směry od pozorovacích stanic při objevení se meteoru a tmavší čáry, kde byl naposledy viděn. Modrá šipka značí viditelnou dráhu meteoru.

static map
height profile
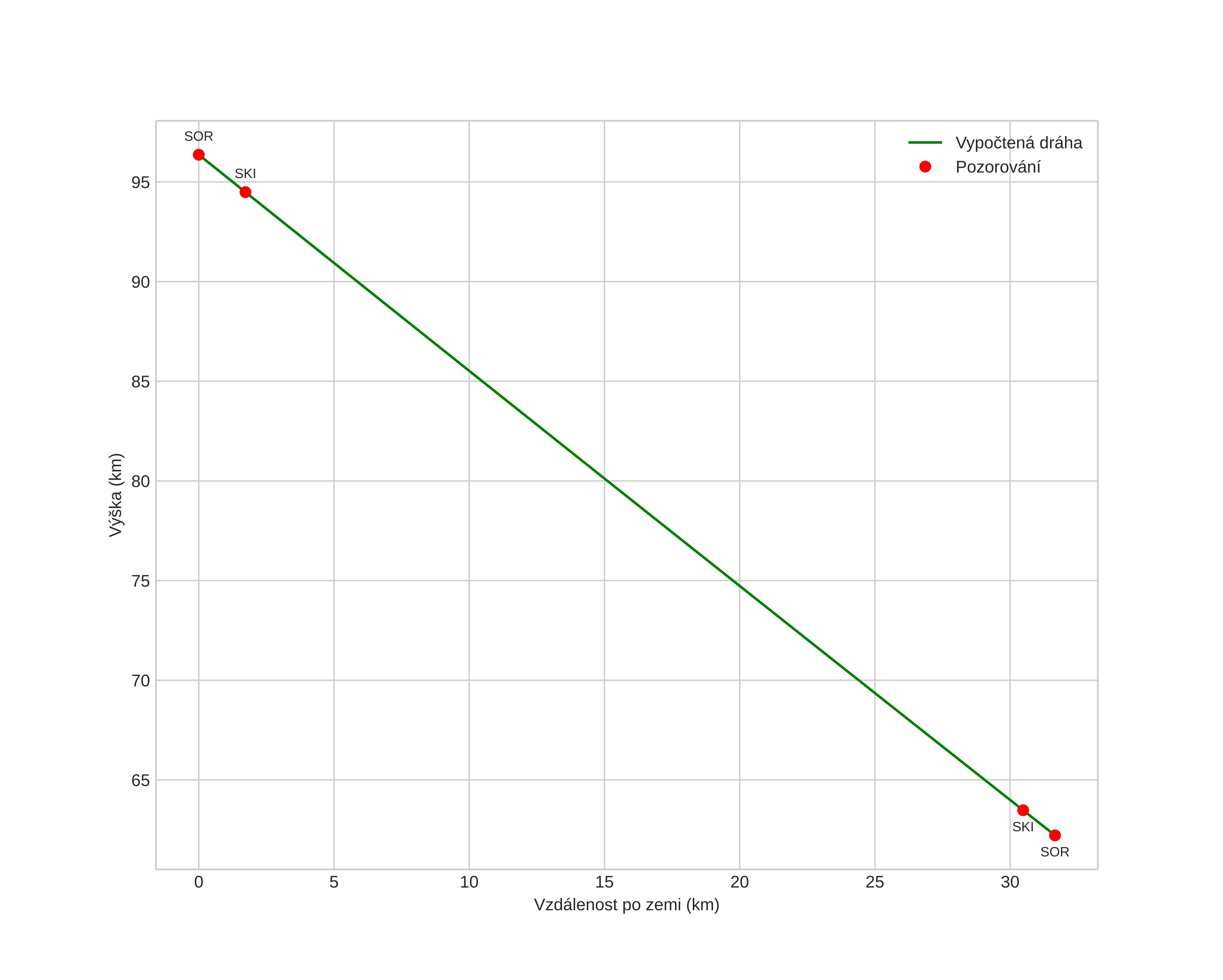
Atmosférická dráha meteoru:
Počáteční výška: 95,9 km
Konečná výška: 61,7 km
Počáteční poloha: 71,280N 16,218E
Konečná poloha: 71,018N 16,563E
Směr: 156,7°
Sklon: 47,2°
VstupnĂ­ rychlost: 32,4 km/s
Rektascenze radiantu: 19:49 (297,5°)
Deklinace radiantu: 62,1°
MeteorickĂ˝ roj: sporadickĂ˝
Elementy dráhy meteoroidu:
Vzdálenost v periheliu: 0,985 AU
Excentricita: 1,469
Sklon dráhy: 39,1°
Délka vzestupného uzlu: 245,1°
Argument perihelia: 184,6°
Střední anomálie: -0,9°
Epocha: 2023 NOV 27 23:52:02
orbit plot

NeinteraktivnĂ­ graf | InteraktivnĂ­ graf

position vs time
speed and acceleration