🇳🇴 🇬🇧 🇩🇪 🇨🇿 🇫🇮

Meteor Andenesin yllä 2023-11-27 23:52:02 UTC

KML-tiedosto  |  Interaktiivinen kartta

Kartta näyttää meteorin suuntahavainnot. Vaaleammat viivat näyttävät suunnat havaintoasemilta meteorin ilmestyessä, ja tummemmat viivat näyttävät, missä se viimeksi nähtiin. Sininen nuoli näyttää meteorin näkyvän lennon.

static map
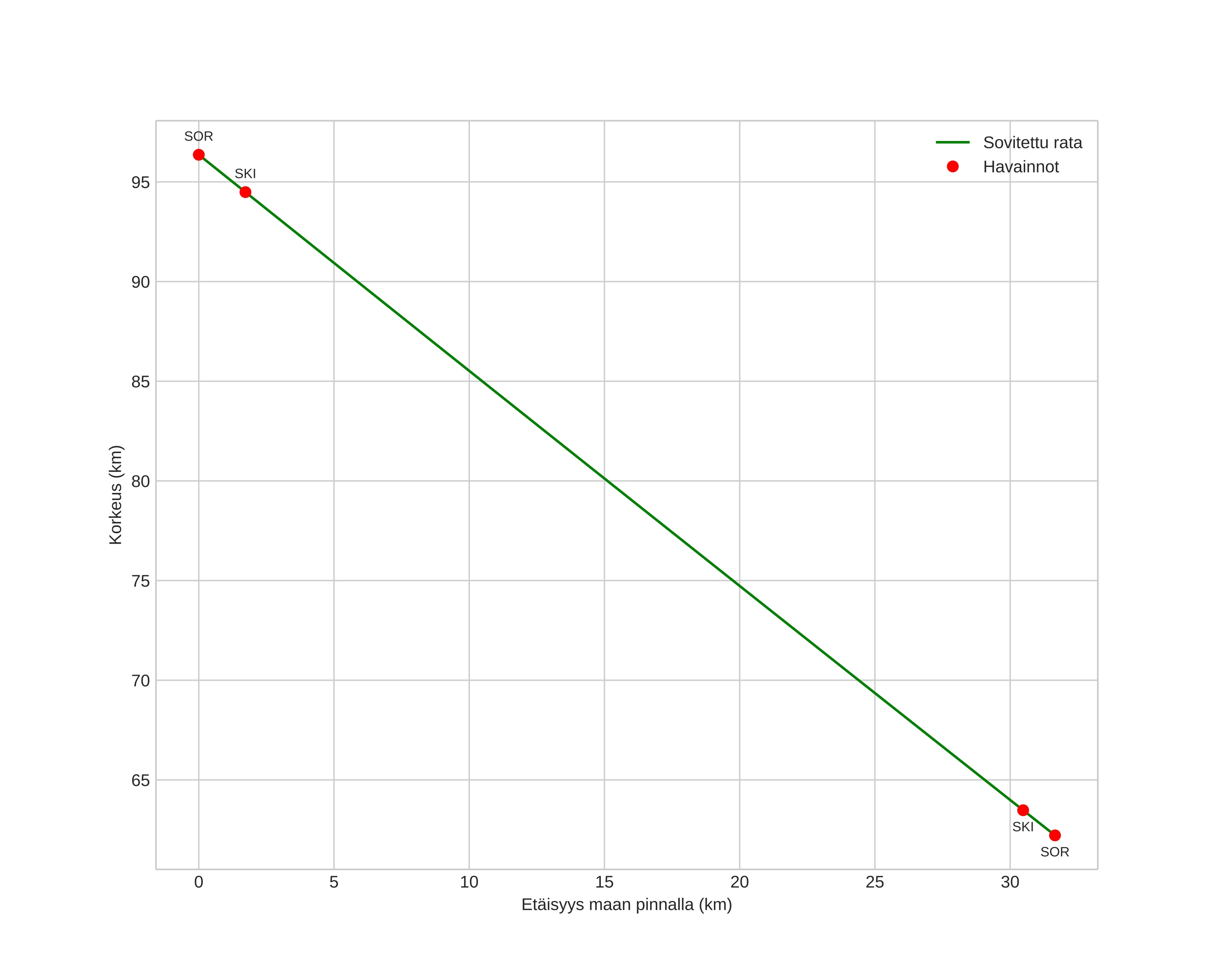
height profile
Meteorin ilmakehärata:
Alkukorkeus: 95,9 km
Loppukorkeus: 61,7 km
Alkupiste: 71,280N 16,218E
Loppupiste: 71,018N 16,563E
Suunta: 156,7°
Kallistuskulma: 47,2°
Tulonopeus: 32,4 km/s
Radiantin R,A,: 19:49 (297,5°)
Radiantin Dekl,: 62,1°
Meteoriparvi: Sporadinen
Meteoroidin rataelementit:
Perihelietäisyys: 0,985 AU
Eksentrisyys: 1,469
Inklinaatio: 39,1°
Nousevan solmun pituus: 245,1°
Perihelin argumentti: 184,6°
Keskianomalia: -0,9°
Epookki: 2023 NOV 27 23:52:02
orbit plot

Ei-interaktiivinen kuvaaja | Interaktiivinen kuvaaja

position vs time
speed and acceleration