🇳🇴 🇬🇧 🇩🇪 🇨🇿 🇫🇮

Meteor, poloha: Lyngseidet 2023-12-02 20:52:18 UTC

Soubor KML  |  InteraktivnĂ­ mapa

Mapa zobrazuje dráhy meteoru. Světlejší čáry ukazují směry od pozorovacích stanic při objevení se meteoru a tmavší čáry, kde byl naposledy viděn. Modrá šipka značí viditelnou dráhu meteoru.

static map
height profile
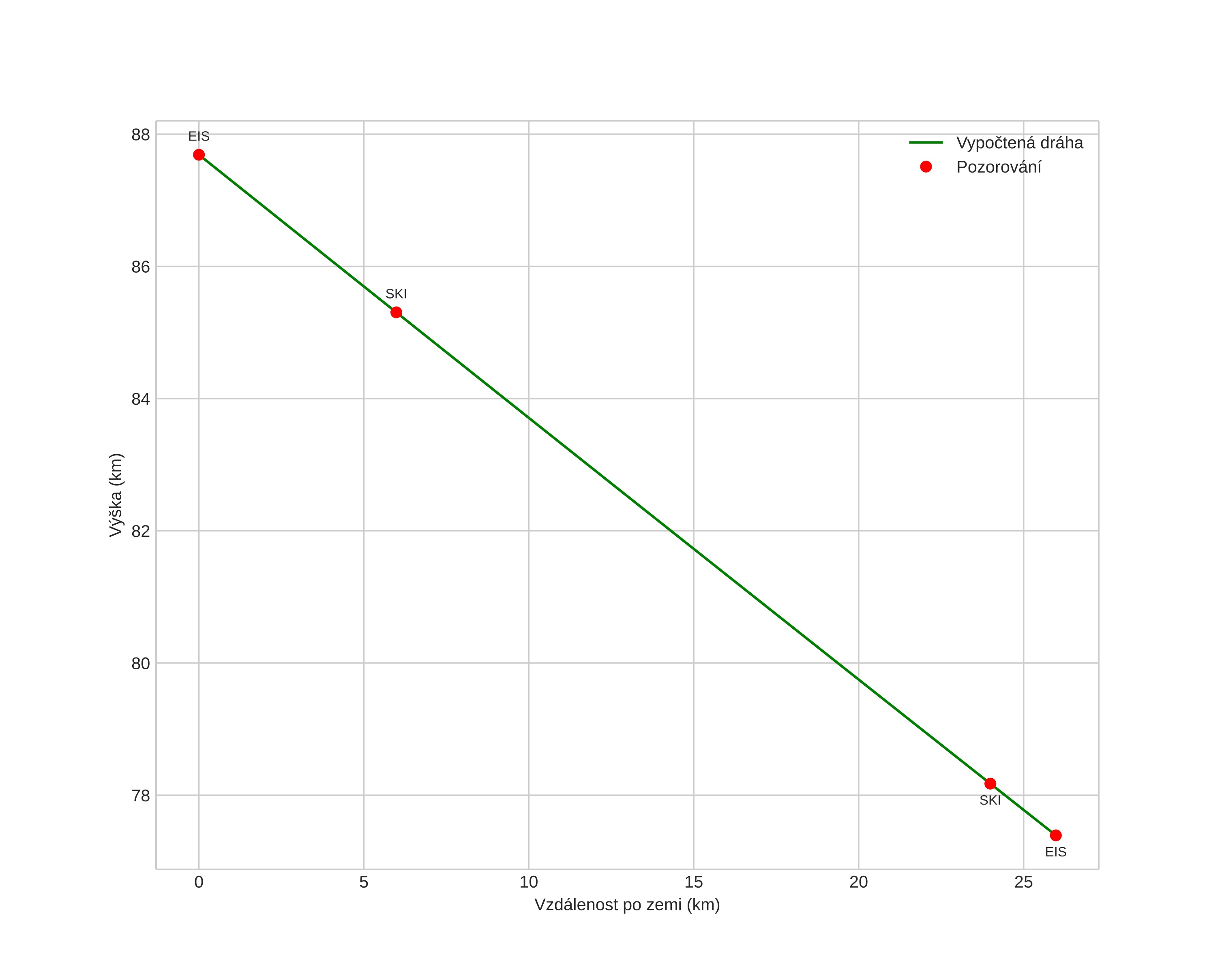
Atmosférická dráha meteoru:
Počáteční výška: 87,7 km
Konečná výška: 76,9 km
Počáteční poloha: 69,286N 20,522E
Konečná poloha: 69,480N 20,117E
Směr: 323,8°
Sklon: 22,0°
VstupnĂ­ rychlost: 22,5 km/s
Rektascenze radiantu: 05:14 (78,7°)
Deklinace radiantu: -0,4°
MeteorickĂ˝ roj: sporadickĂ˝
Elementy dráhy meteoroidu:
Vzdálenost v periheliu: 0,578 AU
Excentricita: 0,583
Sklon dráhy: 15,5°
Délka vzestupného uzlu: 70,1°
Argument perihelia: 97,2°
Střední anomálie: 328,6°
Epocha: 2023 DEC 02 20:52:18
orbit plot

NeinteraktivnĂ­ graf | InteraktivnĂ­ graf

position vs time
speed and acceleration