🇳🇴 🇬🇧 🇩🇪 🇨🇿 🇫🇮

Meteor Lyngseidetin yllä 2023-12-02 20:52:18 UTC

KML-tiedosto  |  Interaktiivinen kartta

Kartta näyttää meteorin suuntahavainnot. Vaaleammat viivat näyttävät suunnat havaintoasemilta meteorin ilmestyessä, ja tummemmat viivat näyttävät, missä se viimeksi nähtiin. Sininen nuoli näyttää meteorin näkyvän lennon.

static map
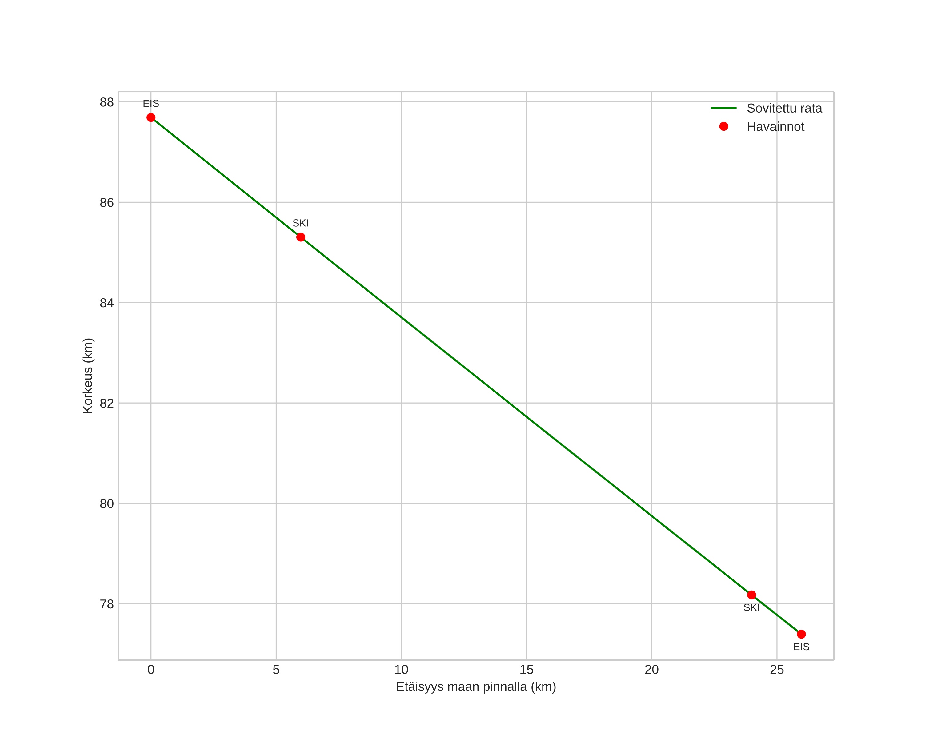
height profile
Meteorin ilmakehärata:
Alkukorkeus: 87,7 km
Loppukorkeus: 76,9 km
Alkupiste: 69,286N 20,522E
Loppupiste: 69,480N 20,117E
Suunta: 323,8°
Kallistuskulma: 22,0°
Tulonopeus: 22,5 km/s
Radiantin R,A,: 05:14 (78,7°)
Radiantin Dekl,: -0,4°
Meteoriparvi: Sporadinen
Meteoroidin rataelementit:
Perihelietäisyys: 0,578 AU
Eksentrisyys: 0,583
Inklinaatio: 15,5°
Nousevan solmun pituus: 70,1°
Perihelin argumentti: 97,2°
Keskianomalia: 328,6°
Epookki: 2023 DEC 02 20:52:18
orbit plot

Ei-interaktiivinen kuvaaja | Interaktiivinen kuvaaja

position vs time
speed and acceleration