🇳🇴 🇬🇧 🇩🇪 🇨🇿 🇫🇮

Meteor, poloha: Andenes 2023-12-03 04:45:06 UTC

Soubor KML  |  InteraktivnĂ­ mapa

Mapa zobrazuje dráhy meteoru. Světlejší čáry ukazují směry od pozorovacích stanic při objevení se meteoru a tmavší čáry, kde byl naposledy viděn. Modrá šipka značí viditelnou dráhu meteoru.

static map
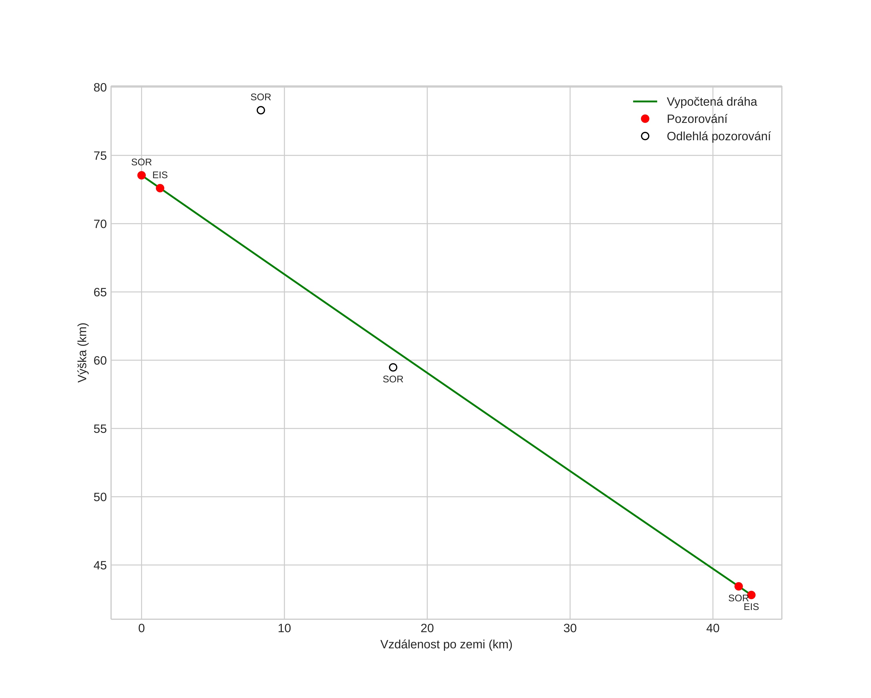
height profile
Atmosférická dráha meteoru:
Počáteční výška: 81,3 km
Konečná výška: 42,4 km
Počáteční poloha: 69,971N 14,145E
Konečná poloha: 69,899N 15,579E
Směr: 97,6°
Sklon: 35,2°
VstupnĂ­ rychlost: 22,4 km/s
Rektascenze radiantu: 04:45 (71,5°)
Deklinace radiantu: 31,2°
MeteorickĂ˝ roj: sporadickĂ˝
Elementy dráhy meteoroidu:
Vzdálenost v periheliu: 0,568 AU
Excentricita: 0,638
Sklon dráhy: 5,9°
Délka vzestupného uzlu: 250,4°
Argument perihelia: 275,1°
Střední anomálie: 335,4°
Epocha: 2023 DEC 03 04:45:06
orbit plot

NeinteraktivnĂ­ graf | InteraktivnĂ­ graf

position vs time
speed and acceleration