🇳🇴 🇬🇧 🇩🇪 🇨🇿 🇫🇮

Meteor Andenesin yllä 2023-12-03 04:45:06 UTC

KML-tiedosto  |  Interaktiivinen kartta

Kartta näyttää meteorin suuntahavainnot. Vaaleammat viivat näyttävät suunnat havaintoasemilta meteorin ilmestyessä, ja tummemmat viivat näyttävät, missä se viimeksi nähtiin. Sininen nuoli näyttää meteorin näkyvän lennon.

static map
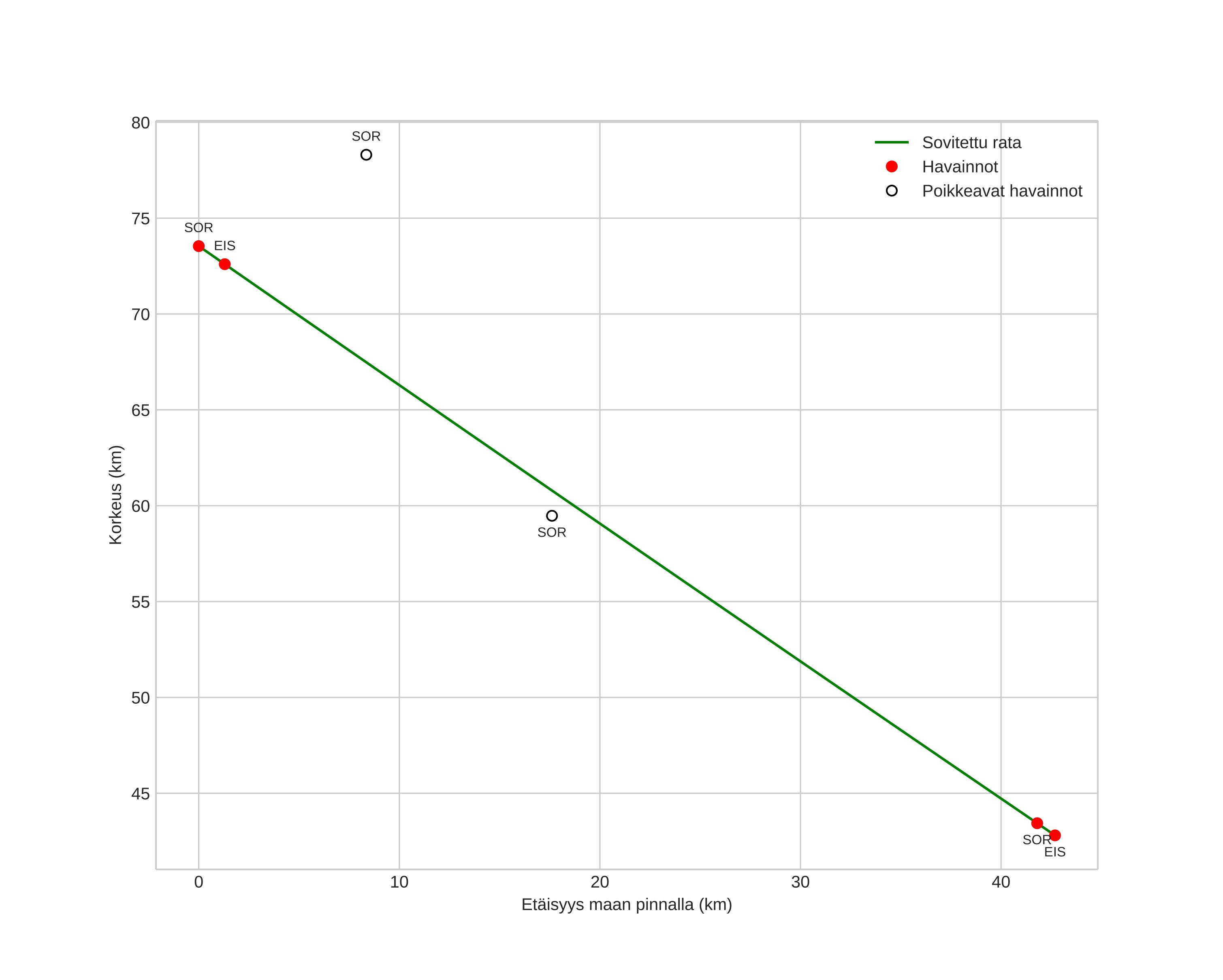
height profile
Meteorin ilmakehärata:
Alkukorkeus: 81,3 km
Loppukorkeus: 42,4 km
Alkupiste: 69,971N 14,145E
Loppupiste: 69,899N 15,579E
Suunta: 97,6°
Kallistuskulma: 35,2°
Tulonopeus: 22,4 km/s
Radiantin R,A,: 04:45 (71,5°)
Radiantin Dekl,: 31,2°
Meteoriparvi: Sporadinen
Meteoroidin rataelementit:
Perihelietäisyys: 0,568 AU
Eksentrisyys: 0,638
Inklinaatio: 5,9°
Nousevan solmun pituus: 250,4°
Perihelin argumentti: 275,1°
Keskianomalia: 335,4°
Epookki: 2023 DEC 03 04:45:06
orbit plot

Ei-interaktiivinen kuvaaja | Interaktiivinen kuvaaja

position vs time
speed and acceleration