🇳🇴 🇬🇧 🇩🇪 🇨🇿 🇫🇮

Meteor, poloha: Lauvsnes 2023-12-05 05:22:22 UTC

Soubor KML  |  InteraktivnĂ­ mapa

Mapa zobrazuje dráhy meteoru. Světlejší čáry ukazují směry od pozorovacích stanic při objevení se meteoru a tmavší čáry, kde byl naposledy viděn. Modrá šipka značí viditelnou dráhu meteoru.

static map
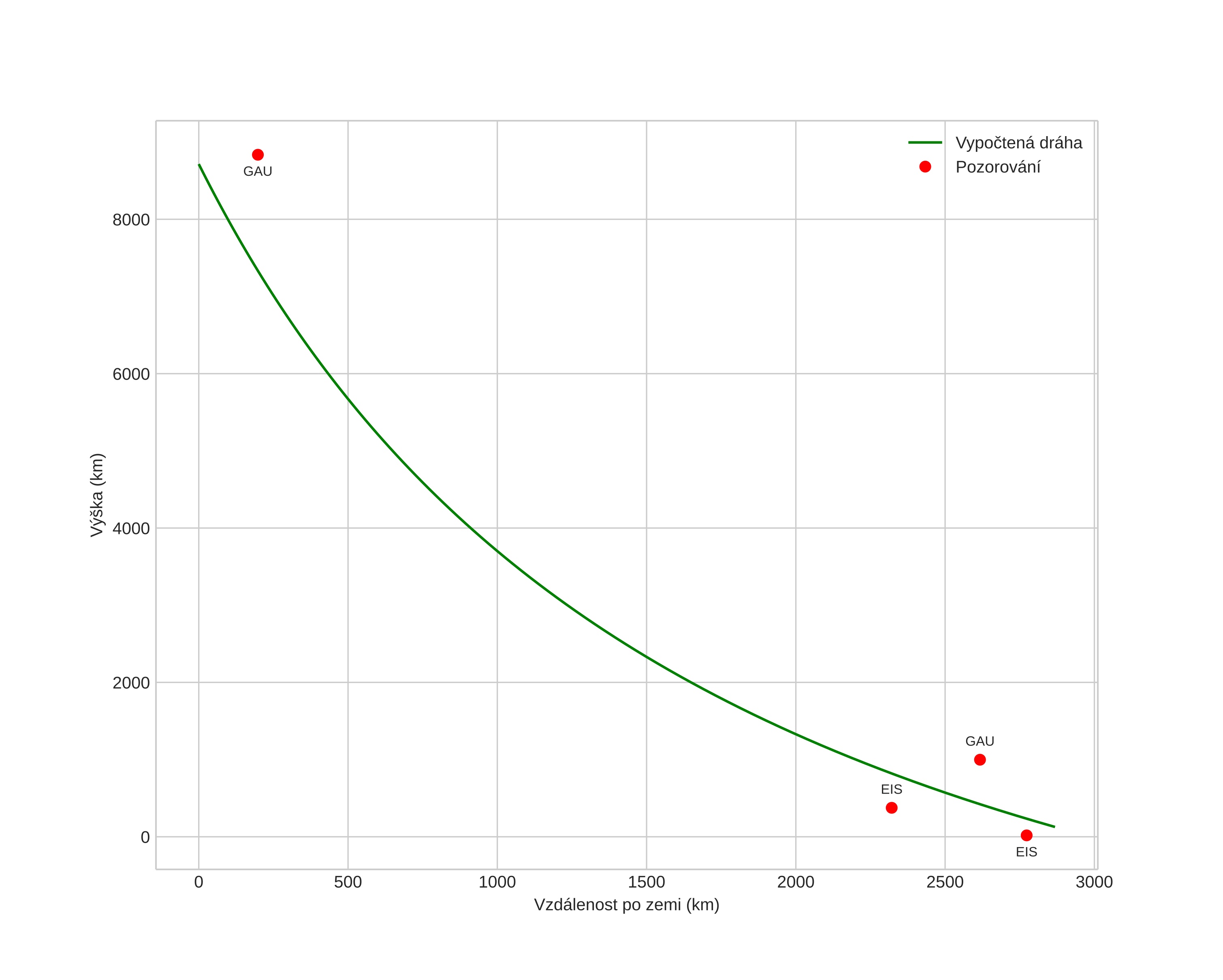
height profile
Atmosférická dráha meteoru:
Počáteční výška: 2701,3 km
Konečná výška: -108,4 km
Počáteční poloha: 60,489N 45,842E
Konečná poloha: 64,966N 10,647E
Směr: 300,8°
Sklon: 56,9°
VstupnĂ­ rychlost: 943,1 km/s
Rektascenze radiantu: 15:41 (235,4°)
Deklinace radiantu: 36,2°
MeteorickĂ˝ roj: sporadickĂ˝
Elementy dráhy meteoroidu:
Vzdálenost v periheliu: 0,854 AU
Excentricita: 837,585
Sklon dráhy: 109,9°
Délka vzestupného uzlu: 252,5°
Argument perihelia: 150,0°
Střední anomálie: 27648,4°
Epocha: 2023 DEC 05 05:22:22
orbit plot

NeinteraktivnĂ­ graf | InteraktivnĂ­ graf

position vs time
speed and acceleration