🇳🇴 🇬🇧 🇩🇪 🇨🇿 🇫🇮

Meteor Lauvsnesin yllä 2023-12-05 05:22:22 UTC

KML-tiedosto  |  Interaktiivinen kartta

Kartta näyttää meteorin suuntahavainnot. Vaaleammat viivat näyttävät suunnat havaintoasemilta meteorin ilmestyessä, ja tummemmat viivat näyttävät, missä se viimeksi nähtiin. Sininen nuoli näyttää meteorin näkyvän lennon.

static map
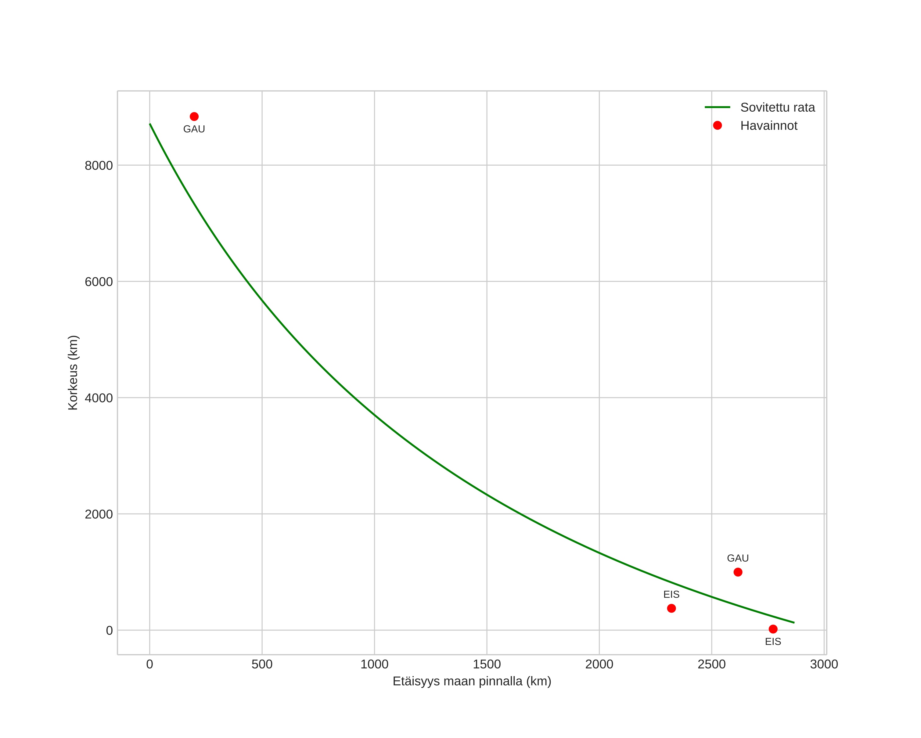
height profile
Meteorin ilmakehärata:
Alkukorkeus: 2701,3 km
Loppukorkeus: -108,4 km
Alkupiste: 60,489N 45,842E
Loppupiste: 64,966N 10,647E
Suunta: 300,8°
Kallistuskulma: 56,9°
Tulonopeus: 943,1 km/s
Radiantin R,A,: 15:41 (235,4°)
Radiantin Dekl,: 36,2°
Meteoriparvi: Sporadinen
Meteoroidin rataelementit:
Perihelietäisyys: 0,854 AU
Eksentrisyys: 837,585
Inklinaatio: 109,9°
Nousevan solmun pituus: 252,5°
Perihelin argumentti: 150,0°
Keskianomalia: 27648,4°
Epookki: 2023 DEC 05 05:22:22
orbit plot

Ei-interaktiivinen kuvaaja | Interaktiivinen kuvaaja

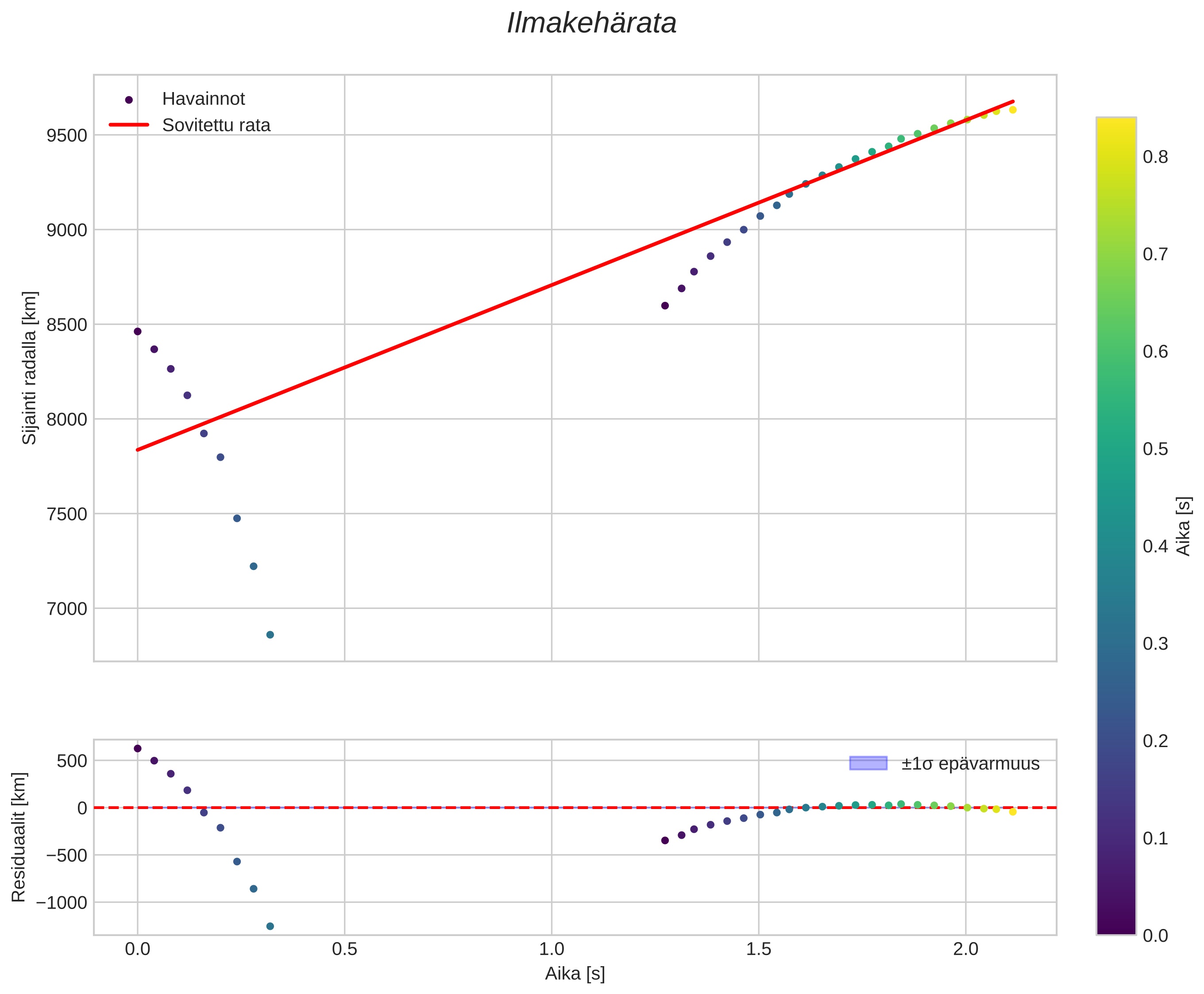
position vs time
speed and acceleration