🇳🇴 🇬🇧 🇩🇪 🇨🇿 🇫🇮

Meteor, poloha: VedavĂĄgen 2023-12-05 05:53:11 UTC

Soubor KML  |  InteraktivnĂ­ mapa

Mapa zobrazuje dráhy meteoru. Světlejší čáry ukazují směry od pozorovacích stanic při objevení se meteoru a tmavší čáry, kde byl naposledy viděn. Modrá šipka značí viditelnou dráhu meteoru.

static map
height profile
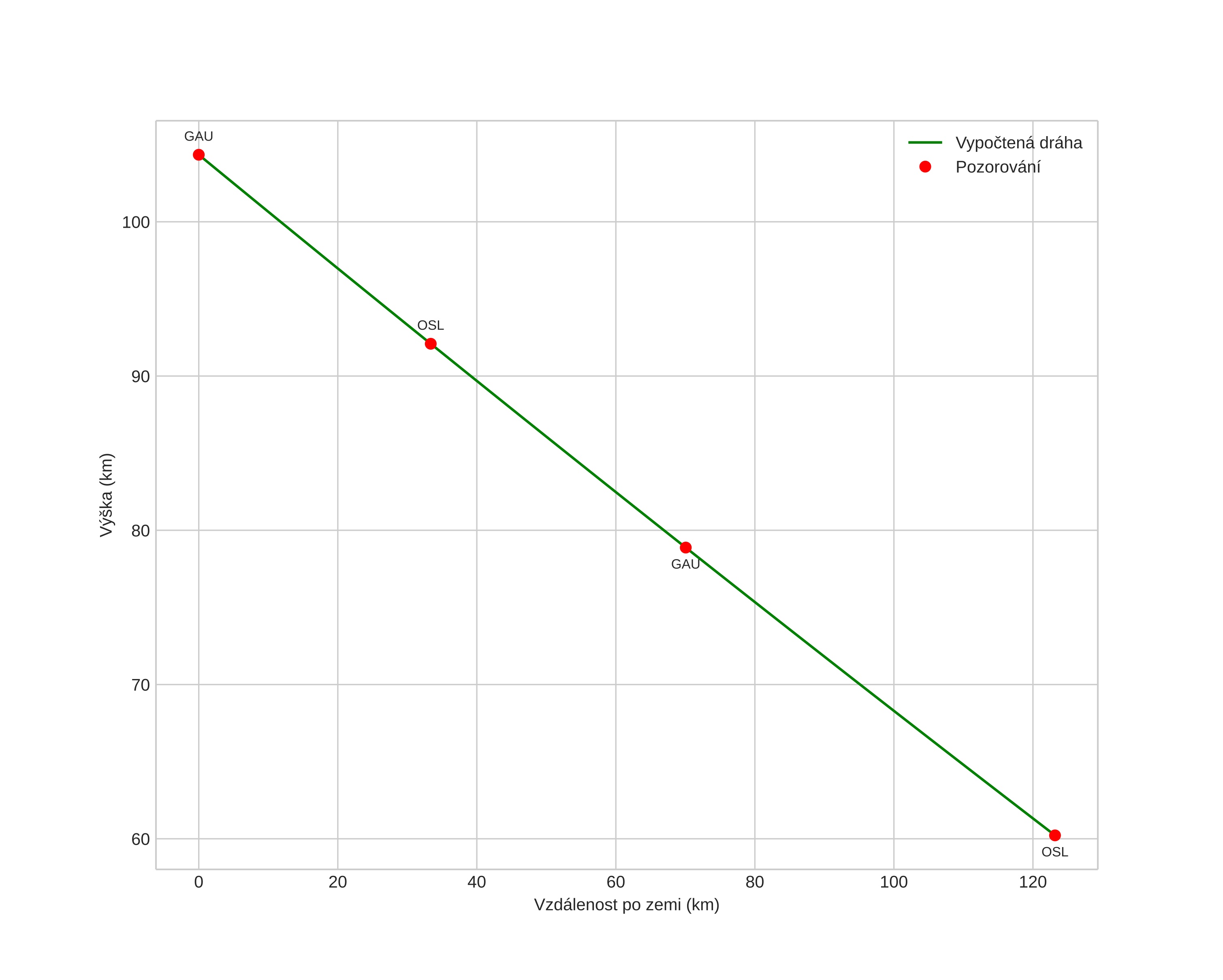
Atmosférická dráha meteoru:
Počáteční výška: 101,9 km
Konečná výška: 64,4 km
Počáteční poloha: 59,483N 3,399E
Konečná poloha: 59,369N 5,154E
Směr: 96,5°
Sklon: 20,5°
VstupnĂ­ rychlost: 25,8 km/s
Rektascenze radiantu: 05:12 (78,1°)
Deklinace radiantu: 17,2°
MeteorickĂ˝ roj: SevernĂ­ Tauridy
Elementy dráhy meteoroidu:
Vzdálenost v periheliu: 0,487 AU
Excentricita: 0,740
Sklon dráhy: 4,8°
Délka vzestupného uzlu: 72,5°
Argument perihelia: 100,9°
Střední anomálie: 342,4°
Epocha: 2023 DEC 05 05:53:11
orbit plot

NeinteraktivnĂ­ graf | InteraktivnĂ­ graf

position vs time
speed and acceleration