🇳🇴 🇬🇧 🇩🇪 🇨🇿 🇫🇮

Meteor Vedavågenin yllä 2023-12-05 05:53:11 UTC

KML-tiedosto  |  Interaktiivinen kartta

Kartta näyttää meteorin suuntahavainnot. Vaaleammat viivat näyttävät suunnat havaintoasemilta meteorin ilmestyessä, ja tummemmat viivat näyttävät, missä se viimeksi nähtiin. Sininen nuoli näyttää meteorin näkyvän lennon.

static map
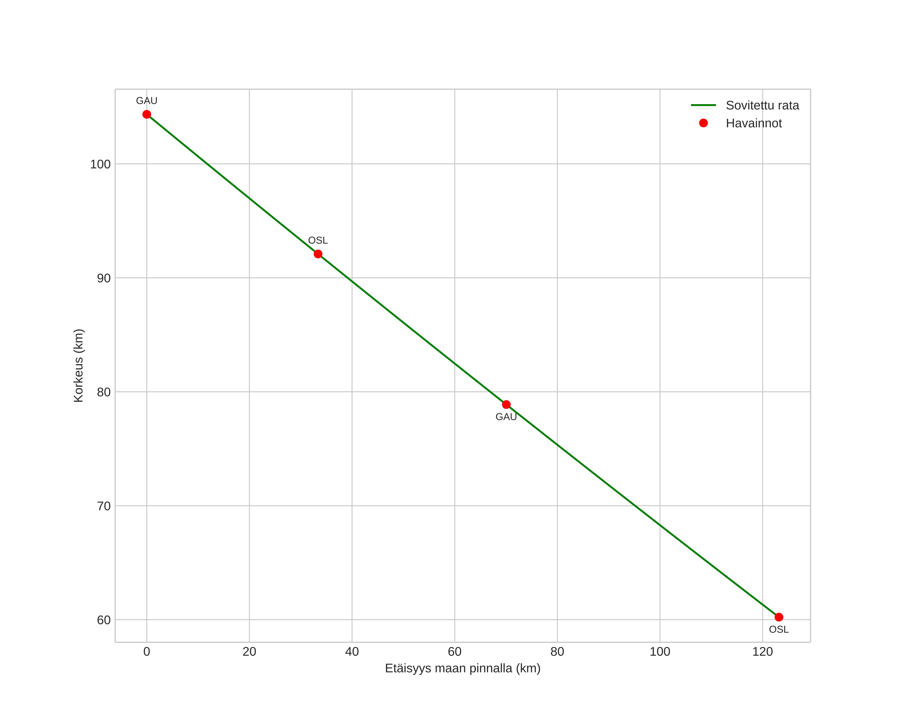
height profile
Meteorin ilmakehärata:
Alkukorkeus: 101,9 km
Loppukorkeus: 64,4 km
Alkupiste: 59,483N 3,399E
Loppupiste: 59,369N 5,154E
Suunta: 96,5°
Kallistuskulma: 20,5°
Tulonopeus: 25,8 km/s
Radiantin R,A,: 05:12 (78,1°)
Radiantin Dekl,: 17,2°
Meteoriparvi: Pohjoiset tauridit
Meteoroidin rataelementit:
Perihelietäisyys: 0,487 AU
Eksentrisyys: 0,740
Inklinaatio: 4,8°
Nousevan solmun pituus: 72,5°
Perihelin argumentti: 100,9°
Keskianomalia: 342,4°
Epookki: 2023 DEC 05 05:53:11
orbit plot

Ei-interaktiivinen kuvaaja | Interaktiivinen kuvaaja

position vs time
speed and acceleration