🇳🇴 🇬🇧 🇩🇪 🇨🇿 🇫🇮

Meteor, poloha: Tromsø 2023-12-06 00:39:01 UTC

Soubor KML  |  InteraktivnĂ­ mapa

Mapa zobrazuje dráhy meteoru. Světlejší čáry ukazují směry od pozorovacích stanic při objevení se meteoru a tmavší čáry, kde byl naposledy viděn. Modrá šipka značí viditelnou dráhu meteoru.

static map
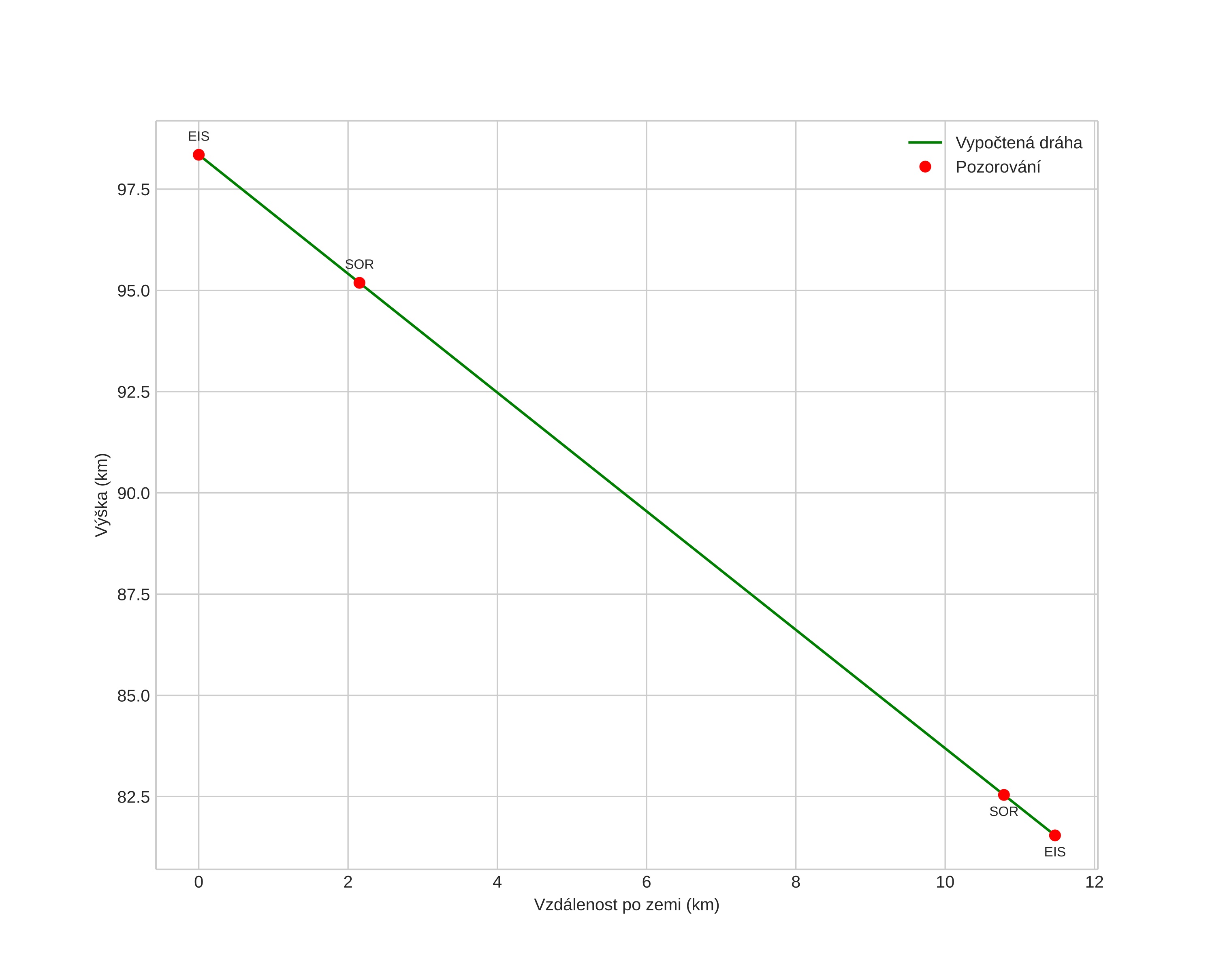
height profile
Atmosférická dráha meteoru:
Počáteční výška: 98,1 km
Konečná výška: 81,9 km
Počáteční poloha: 69,671N 18,363E
Konečná poloha: 69,585N 18,519E
Směr: 147,8°
Sklon: 55,0°
VstupnĂ­ rychlost: 23,7 km/s
Rektascenze radiantu: 22:43 (340,9°)
Deklinace radiantu: 67,2°
MeteorickĂ˝ roj: sporadickĂ˝
Elementy dráhy meteoroidu:
Vzdálenost v periheliu: 0,951 AU
Excentricita: 0,907
Sklon dráhy: 27,6°
Délka vzestupného uzlu: 253,3°
Argument perihelia: 202,0°
Střední anomálie: 359,5°
Epocha: 2023 DEC 06 00:39:01
orbit plot

NeinteraktivnĂ­ graf | InteraktivnĂ­ graf

position vs time
speed and acceleration