🇳🇴 🇬🇧 🇩🇪 🇨🇿 🇫🇮

Meteor Tromsøin yllä 2023-12-06 00:39:01 UTC

KML-tiedosto  |  Interaktiivinen kartta

Kartta näyttää meteorin suuntahavainnot. Vaaleammat viivat näyttävät suunnat havaintoasemilta meteorin ilmestyessä, ja tummemmat viivat näyttävät, missä se viimeksi nähtiin. Sininen nuoli näyttää meteorin näkyvän lennon.

static map
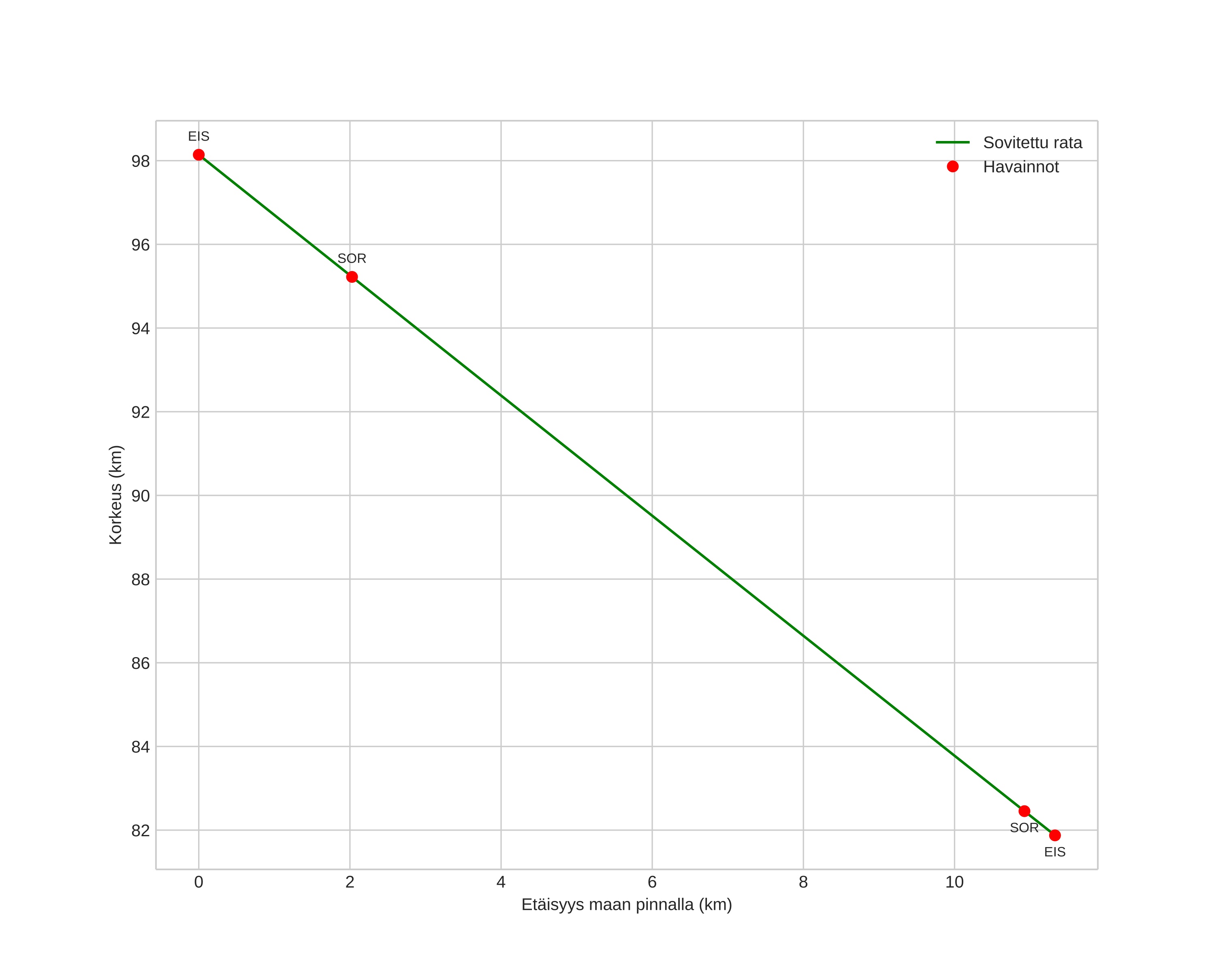
height profile
Meteorin ilmakehärata:
Alkukorkeus: 98,1 km
Loppukorkeus: 81,9 km
Alkupiste: 69,671N 18,363E
Loppupiste: 69,585N 18,519E
Suunta: 147,8°
Kallistuskulma: 55,0°
Tulonopeus: 23,7 km/s
Radiantin R,A,: 22:43 (340,9°)
Radiantin Dekl,: 67,2°
Meteoriparvi: Sporadinen
Meteoroidin rataelementit:
Perihelietäisyys: 0,951 AU
Eksentrisyys: 0,907
Inklinaatio: 27,6°
Nousevan solmun pituus: 253,3°
Perihelin argumentti: 202,0°
Keskianomalia: 359,5°
Epookki: 2023 DEC 06 00:39:01
orbit plot

Ei-interaktiivinen kuvaaja | Interaktiivinen kuvaaja

position vs time
speed and acceleration