🇳🇴 🇬🇧 🇩🇪 🇨🇿 🇫🇮

Meteor, poloha: Harstad 2023-12-06 17:02:07 UTC

Soubor KML  |  InteraktivnĂ­ mapa

Mapa zobrazuje dráhy meteoru. Světlejší čáry ukazují směry od pozorovacích stanic při objevení se meteoru a tmavší čáry, kde byl naposledy viděn. Modrá šipka značí viditelnou dráhu meteoru.

static map
height profile
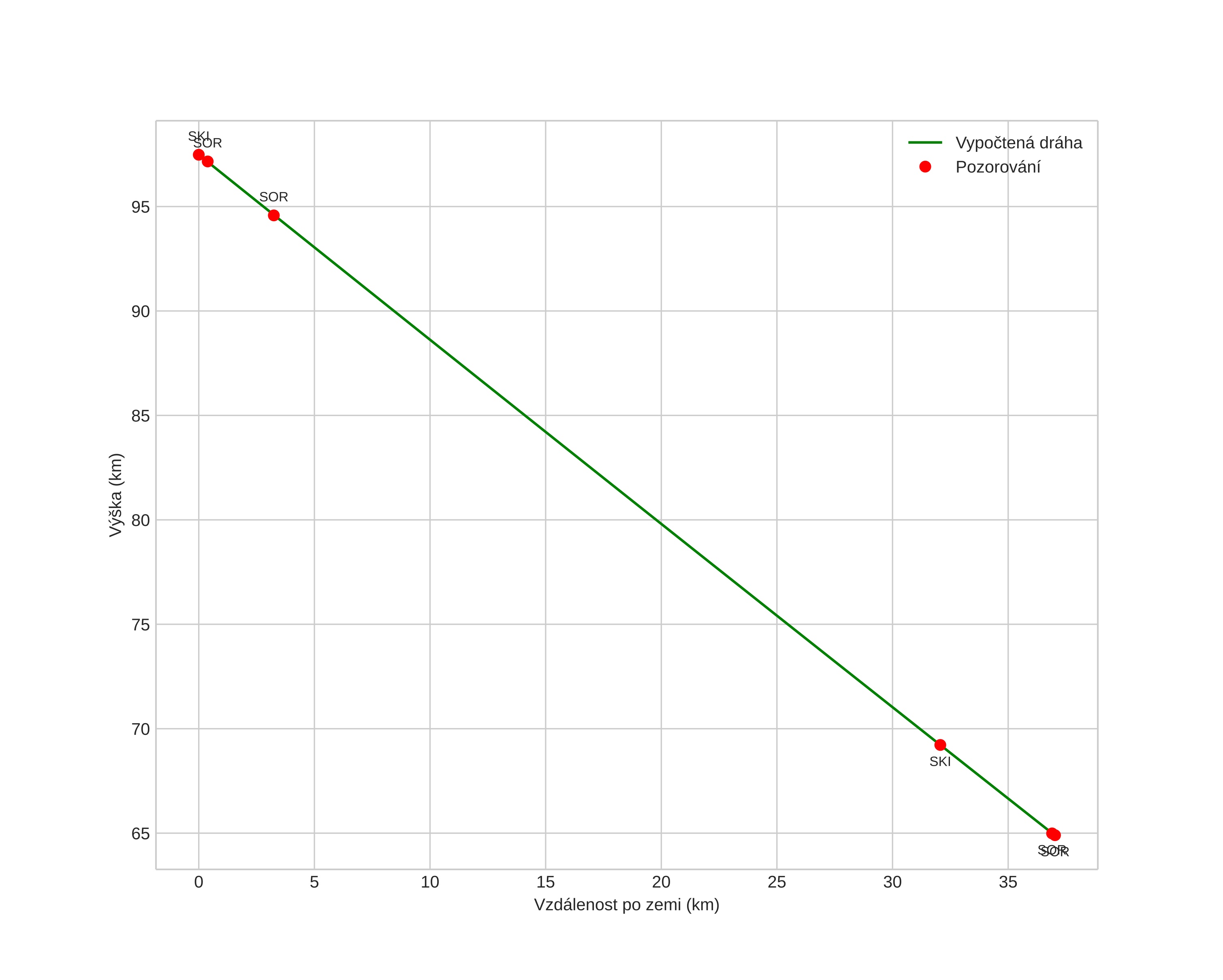
Atmosférická dráha meteoru:
Počáteční výška: 103,9 km
Konečná výška: 65,5 km
Počáteční poloha: 69,048N 15,708E
Konečná poloha: 68,836N 16,541E
Směr: 124,8°
Sklon: 43,3°
VstupnĂ­ rychlost: 45,0 km/s
Rektascenze radiantu: 16:09 (242,4°)
Deklinace radiantu: 51,3°
MeteorickĂ˝ roj: sporadickĂ˝
Elementy dráhy meteoroidu:
Vzdálenost v periheliu: 0,935 AU
Excentricita: 1,453
Sklon dráhy: 63,5°
Délka vzestupného uzlu: 254,0°
Argument perihelia: 156,1°
Střední anomálie: 4,8°
Epocha: 2023 DEC 06 17:02:07
orbit plot

NeinteraktivnĂ­ graf | InteraktivnĂ­ graf

position vs time
speed and acceleration