🇳🇴 🇬🇧 🇩🇪 🇨🇿 🇫🇮

Meteor Harstadin yllä 2023-12-06 17:02:07 UTC

KML-tiedosto  |  Interaktiivinen kartta

Kartta näyttää meteorin suuntahavainnot. Vaaleammat viivat näyttävät suunnat havaintoasemilta meteorin ilmestyessä, ja tummemmat viivat näyttävät, missä se viimeksi nähtiin. Sininen nuoli näyttää meteorin näkyvän lennon.

static map
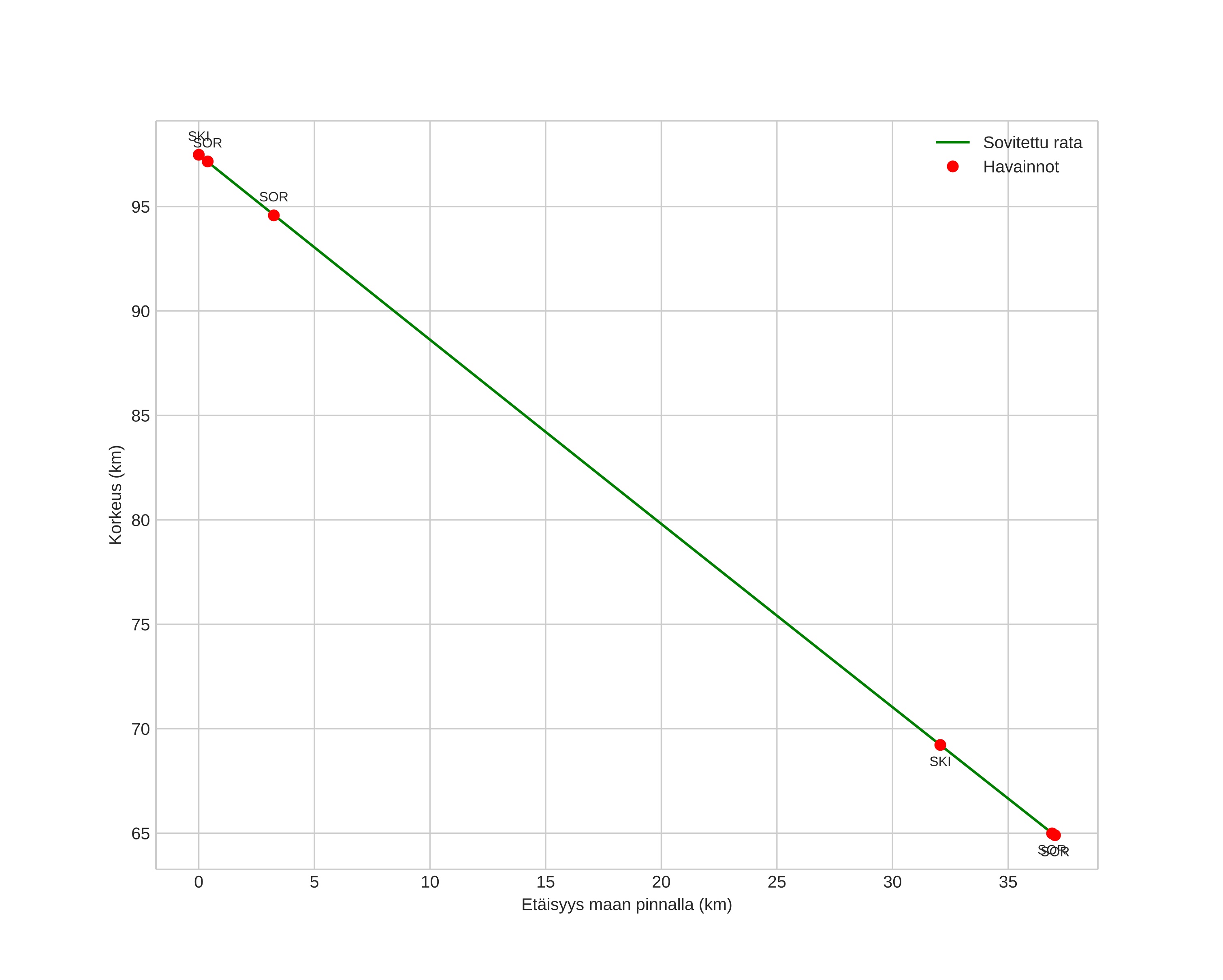
height profile
Meteorin ilmakehärata:
Alkukorkeus: 103,9 km
Loppukorkeus: 65,5 km
Alkupiste: 69,048N 15,708E
Loppupiste: 68,836N 16,541E
Suunta: 124,8°
Kallistuskulma: 43,3°
Tulonopeus: 45,0 km/s
Radiantin R,A,: 16:09 (242,4°)
Radiantin Dekl,: 51,3°
Meteoriparvi: Sporadinen
Meteoroidin rataelementit:
Perihelietäisyys: 0,935 AU
Eksentrisyys: 1,453
Inklinaatio: 63,5°
Nousevan solmun pituus: 254,0°
Perihelin argumentti: 156,1°
Keskianomalia: 4,8°
Epookki: 2023 DEC 06 17:02:07
orbit plot

Ei-interaktiivinen kuvaaja | Interaktiivinen kuvaaja

position vs time
speed and acceleration