🇳🇴 🇬🇧 🇩🇪 🇨🇿 🇫🇮

Meteor, poloha: Tromsø 2023-12-07 04:03:10 UTC

Soubor KML  |  InteraktivnĂ­ mapa

Mapa zobrazuje dráhy meteoru. Světlejší čáry ukazují směry od pozorovacích stanic při objevení se meteoru a tmavší čáry, kde byl naposledy viděn. Modrá šipka značí viditelnou dráhu meteoru.

static map
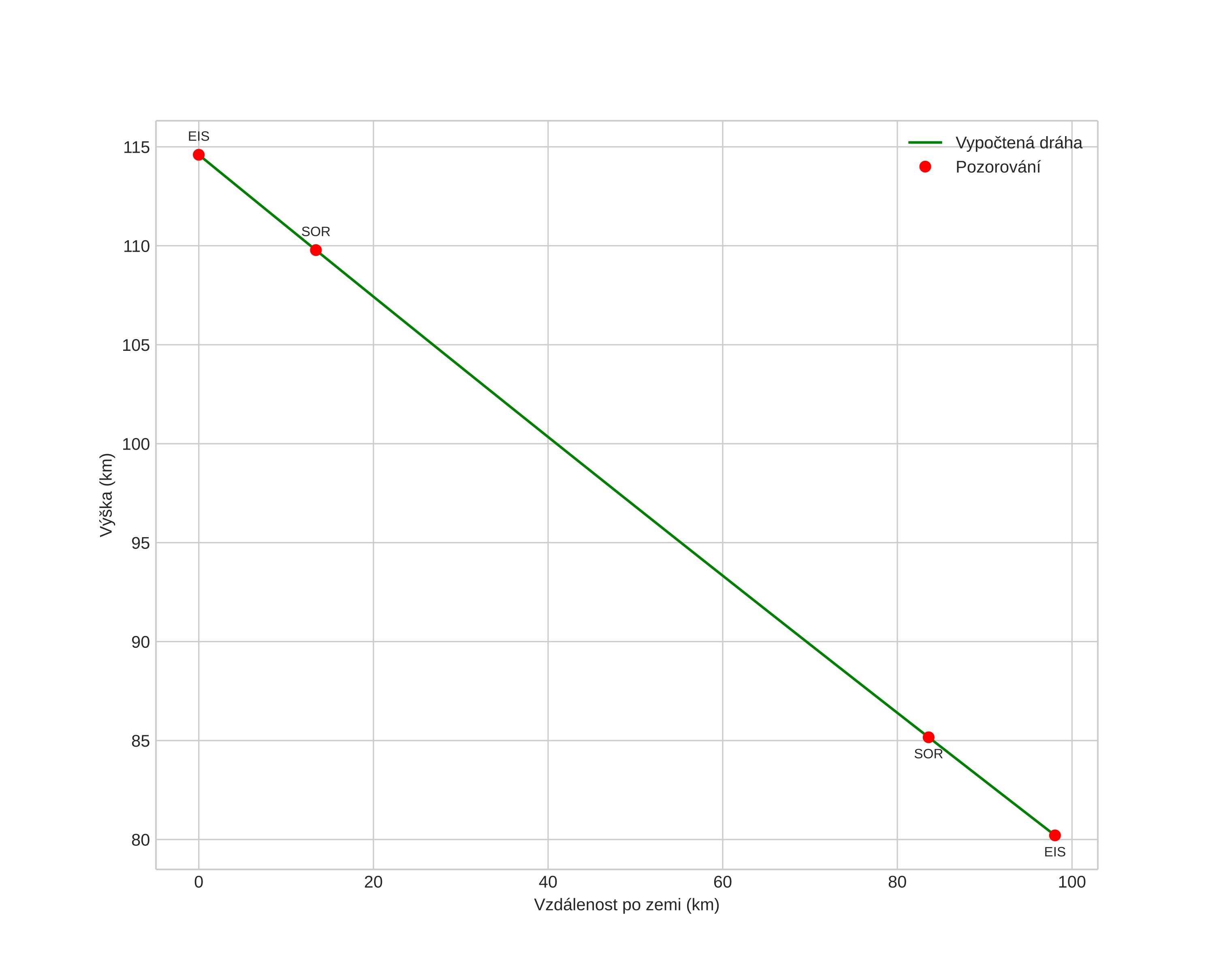
height profile
Atmosférická dráha meteoru:
Počáteční výška: 108,8 km
Konečná výška: 73,3 km
Počáteční poloha: 70,675N 16,978E
Konečná poloha: 71,329N 18,343E
Směr: 33,5°
Sklon: 22,0°
VstupnĂ­ rychlost: 57,1 km/s
Rektascenze radiantu: 08:07 (121,8°)
Deklinace radiantu: 4,9°
MeteorickĂ˝ roj: Sigma Hydridy
Elementy dráhy meteoroidu:
Vzdálenost v periheliu: 0,176 AU
Excentricita: 0,964
Sklon dráhy: 125,5°
Délka vzestupného uzlu: 74,4°
Argument perihelia: 132,2°
Střední anomálie: 356,9°
Epocha: 2023 DEC 07 04:03:10
orbit plot

NeinteraktivnĂ­ graf | InteraktivnĂ­ graf

position vs time
speed and acceleration