🇳🇴 🇬🇧 🇩🇪 🇨🇿 🇫🇮

Meteor Tromsøin yllä 2023-12-07 04:03:10 UTC

KML-tiedosto  |  Interaktiivinen kartta

Kartta näyttää meteorin suuntahavainnot. Vaaleammat viivat näyttävät suunnat havaintoasemilta meteorin ilmestyessä, ja tummemmat viivat näyttävät, missä se viimeksi nähtiin. Sininen nuoli näyttää meteorin näkyvän lennon.

static map
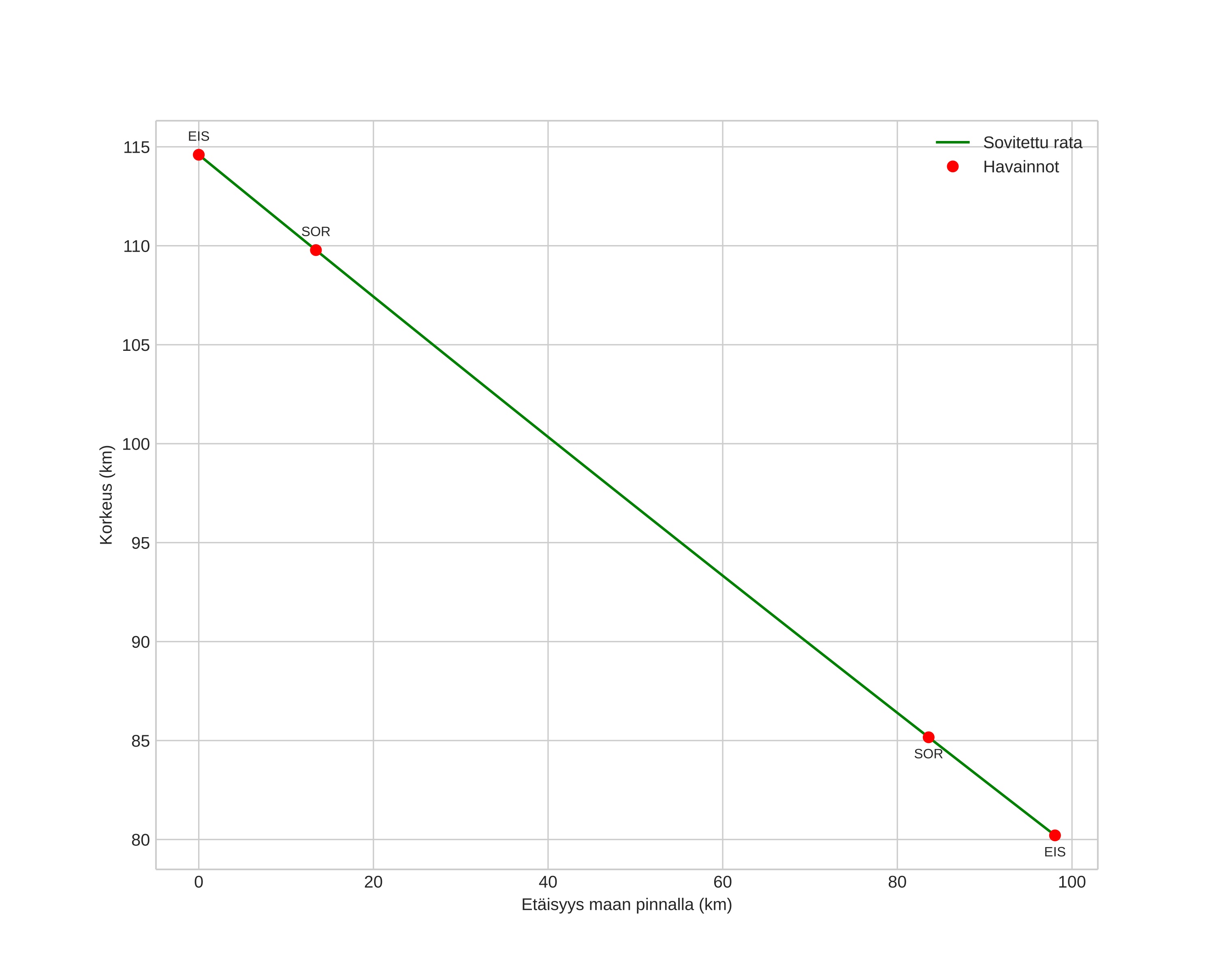
height profile
Meteorin ilmakehärata:
Alkukorkeus: 108,8 km
Loppukorkeus: 73,3 km
Alkupiste: 70,675N 16,978E
Loppupiste: 71,329N 18,343E
Suunta: 33,5°
Kallistuskulma: 22,0°
Tulonopeus: 57,1 km/s
Radiantin R,A,: 08:07 (121,8°)
Radiantin Dekl,: 4,9°
Meteoriparvi: Sigma-hydridit
Meteoroidin rataelementit:
Perihelietäisyys: 0,176 AU
Eksentrisyys: 0,964
Inklinaatio: 125,5°
Nousevan solmun pituus: 74,4°
Perihelin argumentti: 132,2°
Keskianomalia: 356,9°
Epookki: 2023 DEC 07 04:03:10
orbit plot

Ei-interaktiivinen kuvaaja | Interaktiivinen kuvaaja

position vs time
speed and acceleration