🇳🇴 🇬🇧 🇩🇪 🇨🇿 🇫🇮

Meteor, poloha: Lyngseidet 2023-12-07 17:06:44 UTC

Soubor KML  |  InteraktivnĂ­ mapa

Mapa zobrazuje dráhy meteoru. Světlejší čáry ukazují směry od pozorovacích stanic při objevení se meteoru a tmavší čáry, kde byl naposledy viděn. Modrá šipka značí viditelnou dráhu meteoru.

static map
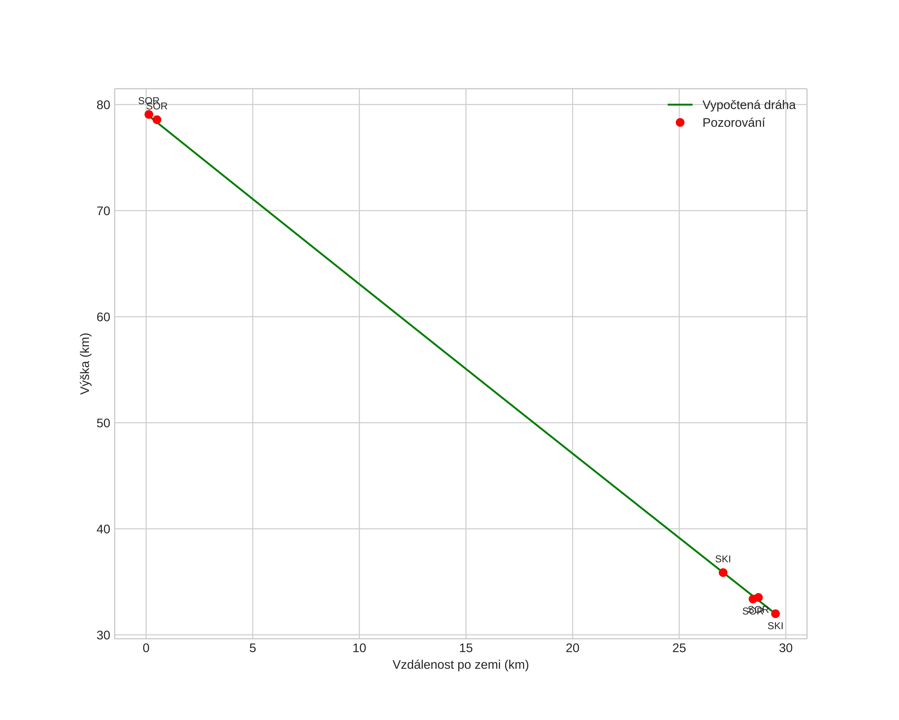
height profile
Atmosférická dráha meteoru:
Počáteční výška: 78,7 km
Konečná výška: 31,8 km
Počáteční poloha: 69,602N 20,801E
Konečná poloha: 69,649N 20,062E
Směr: 280,7°
Sklon: 58,2°
VstupnĂ­ rychlost: 20,4 km/s
Rektascenze radiantu: 03:12 (48,1°)
Deklinace radiantu: 47,4°
MeteorickĂ˝ roj: sporadickĂ˝
Elementy dráhy meteoroidu:
Vzdálenost v periheliu: 0,807 AU
Excentricita: 0,689
Sklon dráhy: 13,2°
Délka vzestupného uzlu: 255,0°
Argument perihelia: 236,3°
Střední anomálie: 351,3°
Epocha: 2023 DEC 07 17:06:44
orbit plot

NeinteraktivnĂ­ graf | InteraktivnĂ­ graf

position vs time
speed and acceleration