🇳🇴 🇬🇧 🇩🇪 🇨🇿 🇫🇮

Meteor Lyngseidetin yllä 2023-12-07 17:06:44 UTC

KML-tiedosto  |  Interaktiivinen kartta

Kartta näyttää meteorin suuntahavainnot. Vaaleammat viivat näyttävät suunnat havaintoasemilta meteorin ilmestyessä, ja tummemmat viivat näyttävät, missä se viimeksi nähtiin. Sininen nuoli näyttää meteorin näkyvän lennon.

static map
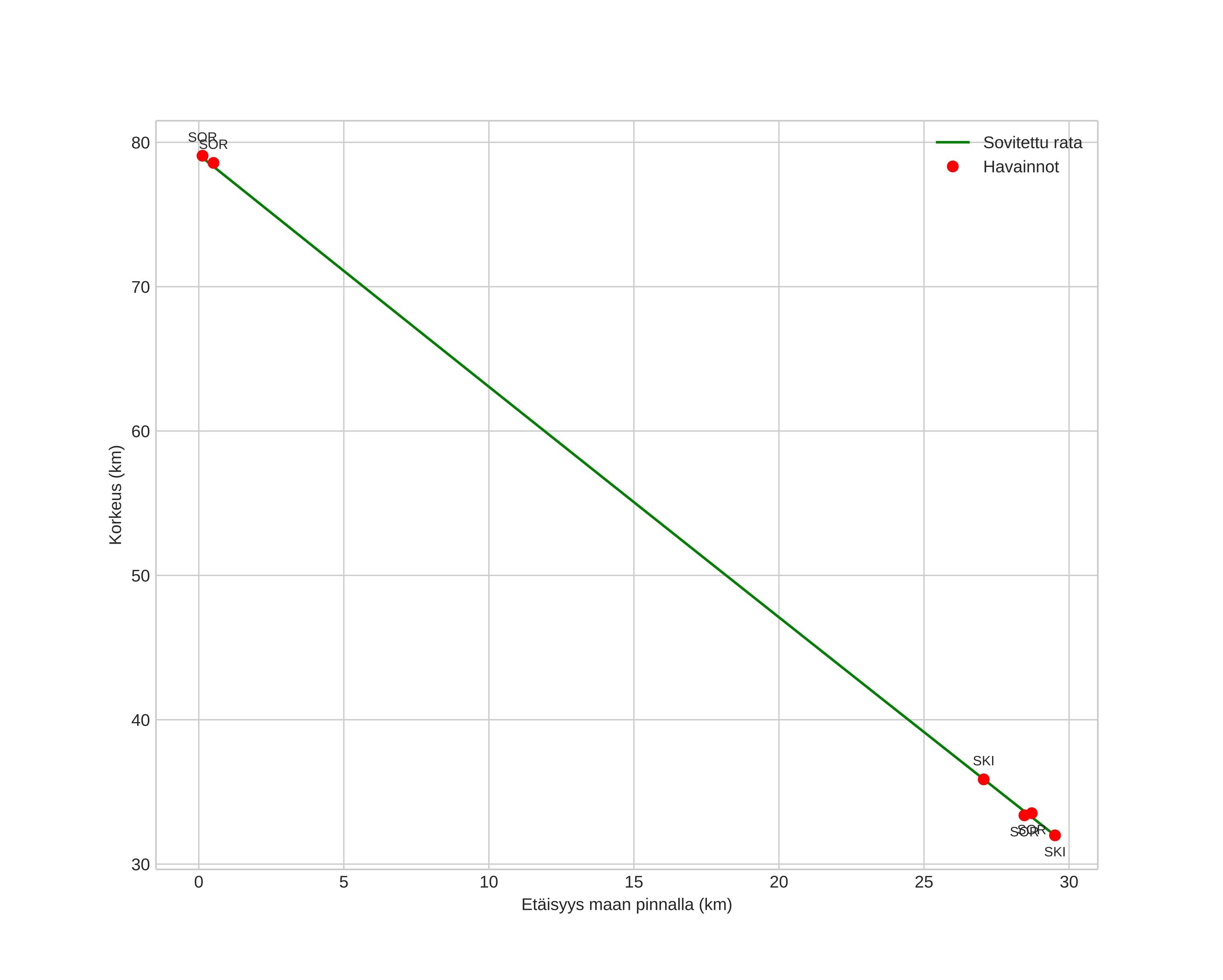
height profile
Meteorin ilmakehärata:
Alkukorkeus: 78,7 km
Loppukorkeus: 31,8 km
Alkupiste: 69,602N 20,801E
Loppupiste: 69,649N 20,062E
Suunta: 280,7°
Kallistuskulma: 58,2°
Tulonopeus: 20,4 km/s
Radiantin R,A,: 03:12 (48,1°)
Radiantin Dekl,: 47,4°
Meteoriparvi: Sporadinen
Meteoroidin rataelementit:
Perihelietäisyys: 0,807 AU
Eksentrisyys: 0,689
Inklinaatio: 13,2°
Nousevan solmun pituus: 255,0°
Perihelin argumentti: 236,3°
Keskianomalia: 351,3°
Epookki: 2023 DEC 07 17:06:44
orbit plot

Ei-interaktiivinen kuvaaja | Interaktiivinen kuvaaja

position vs time
speed and acceleration