🇳🇴 🇬🇧 🇩🇪 🇨🇿 🇫🇮

Meteor, poloha: Jokkmokk 2023-12-07 18:19:58 UTC

Soubor KML  |  InteraktivnĂ­ mapa

Mapa zobrazuje dráhy meteoru. Světlejší čáry ukazují směry od pozorovacích stanic při objevení se meteoru a tmavší čáry, kde byl naposledy viděn. Modrá šipka značí viditelnou dráhu meteoru.

static map
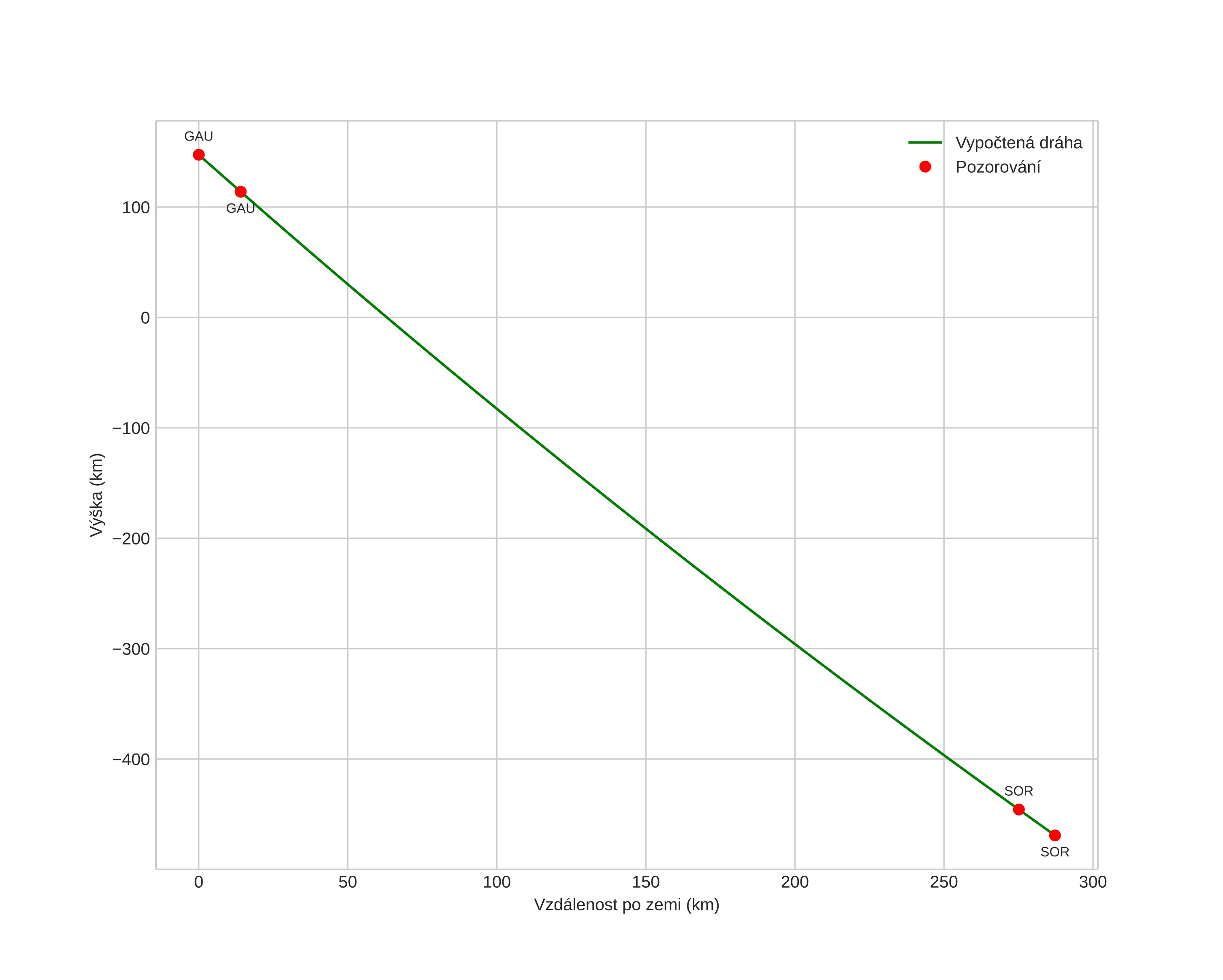
height profile
Atmosférická dráha meteoru:
Počáteční výška: 146,8 km
Konečná výška: -452,5 km
Počáteční poloha: 63,792N 18,324E
Konečná poloha: 66,468N 19,092E
Směr: 6,5°
Sklon: 63,4°
VstupnĂ­ rychlost: 30,9 km/s
Rektascenze radiantu: 00:19 (5,0°)
Deklinace radiantu: 36,1°
MeteorickĂ˝ roj: sporadickĂ˝
Elementy dráhy meteoroidu:
Vzdálenost v periheliu: 0,934 AU
Excentricita: 2,243
Sklon dráhy: 16,4°
Délka vzestupného uzlu: 255,0°
Argument perihelia: 202,3°
Střední anomálie: -17,8°
Epocha: 2023 DEC 07 18:19:58
orbit plot

NeinteraktivnĂ­ graf | InteraktivnĂ­ graf

position vs time
speed and acceleration