🇳🇴 🇬🇧 🇩🇪 🇨🇿 🇫🇮

Meteor Jokkmokkin yllä 2023-12-07 18:19:58 UTC

KML-tiedosto  |  Interaktiivinen kartta

Kartta näyttää meteorin suuntahavainnot. Vaaleammat viivat näyttävät suunnat havaintoasemilta meteorin ilmestyessä, ja tummemmat viivat näyttävät, missä se viimeksi nähtiin. Sininen nuoli näyttää meteorin näkyvän lennon.

static map
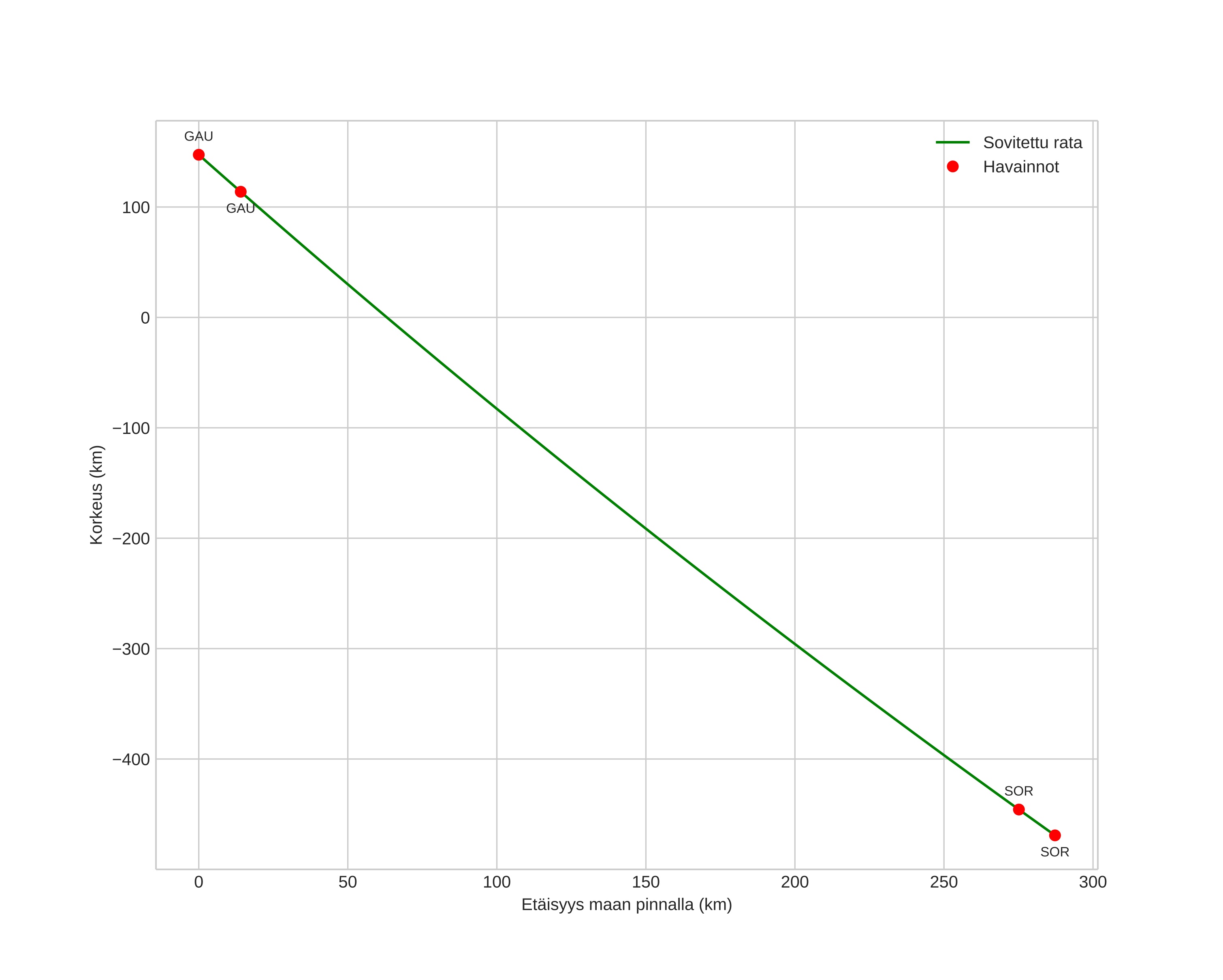
height profile
Meteorin ilmakehärata:
Alkukorkeus: 146,8 km
Loppukorkeus: -452,5 km
Alkupiste: 63,792N 18,324E
Loppupiste: 66,468N 19,092E
Suunta: 6,5°
Kallistuskulma: 63,4°
Tulonopeus: 30,9 km/s
Radiantin R,A,: 00:19 (5,0°)
Radiantin Dekl,: 36,1°
Meteoriparvi: Sporadinen
Meteoroidin rataelementit:
Perihelietäisyys: 0,934 AU
Eksentrisyys: 2,243
Inklinaatio: 16,4°
Nousevan solmun pituus: 255,0°
Perihelin argumentti: 202,3°
Keskianomalia: -17,8°
Epookki: 2023 DEC 07 18:19:58
orbit plot

Ei-interaktiivinen kuvaaja | Interaktiivinen kuvaaja

position vs time
speed and acceleration