🇳🇴 🇬🇧 🇩🇪 🇨🇿 🇫🇮

Meteor, poloha: Tromsø 2023-12-07 22:36:46 UTC

Soubor KML  |  InteraktivnĂ­ mapa

Mapa zobrazuje dráhy meteoru. Světlejší čáry ukazují směry od pozorovacích stanic při objevení se meteoru a tmavší čáry, kde byl naposledy viděn. Modrá šipka značí viditelnou dráhu meteoru.

static map
height profile
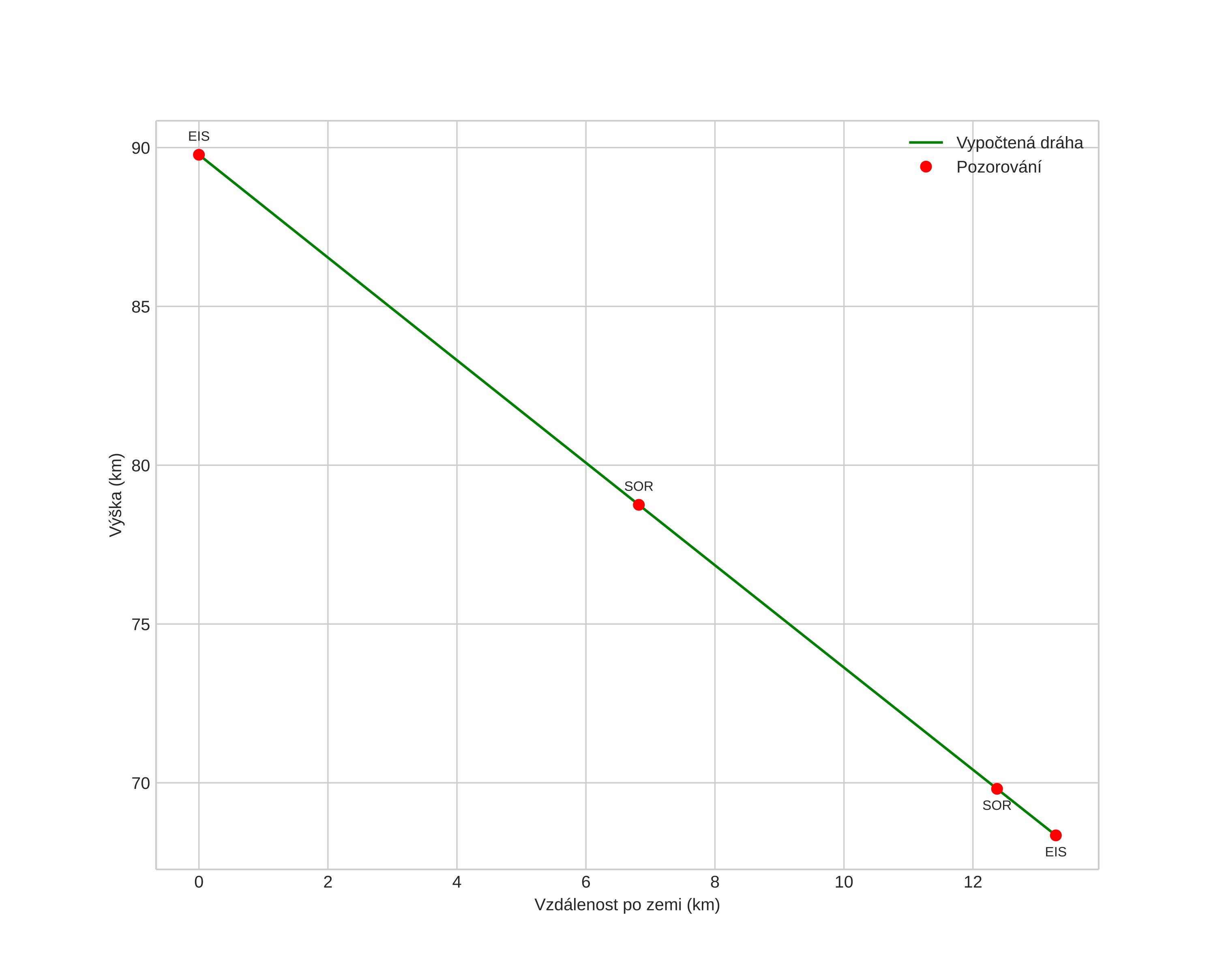
Atmosférická dráha meteoru:
Počáteční výška: 89,0 km
Konečná výška: 68,8 km
Počáteční poloha: 69,864N 19,078E
Konečná poloha: 69,751N 19,152E
Směr: 167,1°
Sklon: 57,6°
VstupnĂ­ rychlost: 25,1 km/s
Rektascenze radiantu: 18:59 (284,8°)
Deklinace radiantu: 74,6°
MeteorickĂ˝ roj: sporadickĂ˝
Elementy dráhy meteoroidu:
Vzdálenost v periheliu: 0,972 AU
Excentricita: 0,626
Sklon dráhy: 35,7°
Délka vzestupného uzlu: 255,2°
Argument perihelia: 195,0°
Střední anomálie: 357,3°
Epocha: 2023 DEC 07 22:36:46
orbit plot

NeinteraktivnĂ­ graf | InteraktivnĂ­ graf

position vs time
speed and acceleration