🇳🇴 🇬🇧 🇩🇪 🇨🇿 🇫🇮

Meteor Tromsøin yllä 2023-12-07 22:36:46 UTC

KML-tiedosto  |  Interaktiivinen kartta

Kartta näyttää meteorin suuntahavainnot. Vaaleammat viivat näyttävät suunnat havaintoasemilta meteorin ilmestyessä, ja tummemmat viivat näyttävät, missä se viimeksi nähtiin. Sininen nuoli näyttää meteorin näkyvän lennon.

static map
height profile
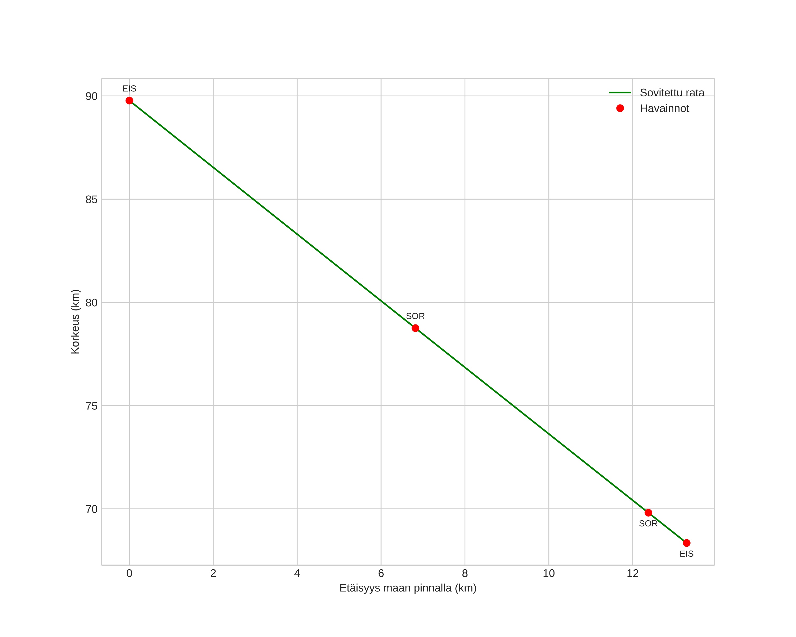
Meteorin ilmakehärata:
Alkukorkeus: 89,0 km
Loppukorkeus: 68,8 km
Alkupiste: 69,864N 19,078E
Loppupiste: 69,751N 19,152E
Suunta: 167,1°
Kallistuskulma: 57,6°
Tulonopeus: 25,1 km/s
Radiantin R,A,: 18:59 (284,8°)
Radiantin Dekl,: 74,6°
Meteoriparvi: Sporadinen
Meteoroidin rataelementit:
Perihelietäisyys: 0,972 AU
Eksentrisyys: 0,626
Inklinaatio: 35,7°
Nousevan solmun pituus: 255,2°
Perihelin argumentti: 195,0°
Keskianomalia: 357,3°
Epookki: 2023 DEC 07 22:36:46
orbit plot

Ei-interaktiivinen kuvaaja | Interaktiivinen kuvaaja

position vs time
speed and acceleration