🇳🇴 🇬🇧 🇩🇪 🇨🇿 🇫🇮

Meteor, poloha: Evenskjer 2023-12-09 16:38:59 UTC

Soubor KML  |  InteraktivnĂ­ mapa

Mapa zobrazuje dráhy meteoru. Světlejší čáry ukazují směry od pozorovacích stanic při objevení se meteoru a tmavší čáry, kde byl naposledy viděn. Modrá šipka značí viditelnou dráhu meteoru.

static map
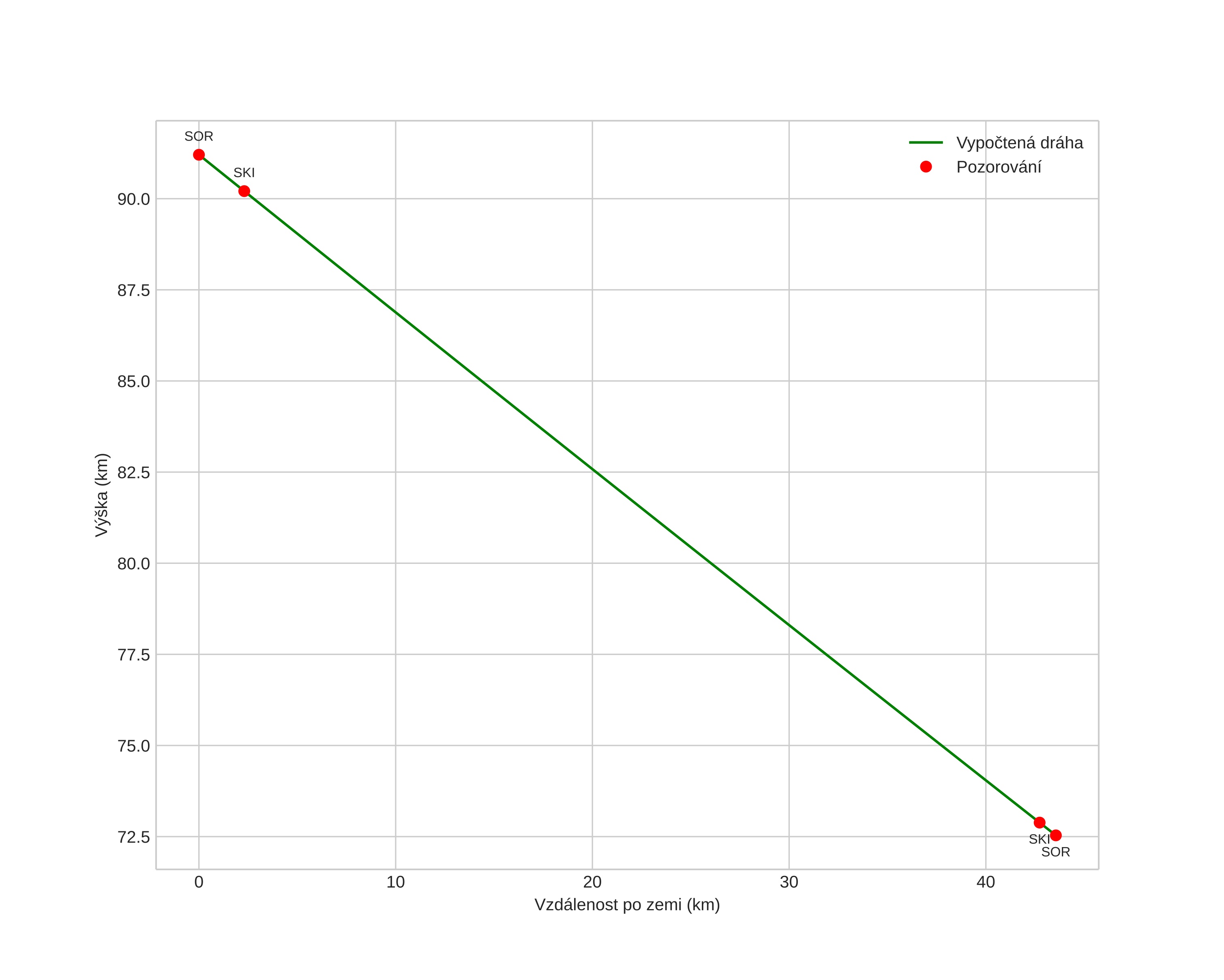
height profile
Atmosférická dráha meteoru:
Počáteční výška: 91,7 km
Konečná výška: 72,5 km
Počáteční poloha: 68,908N 17,513E
Konečná poloha: 68,651N 16,701E
Směr: 229,3°
Sklon: 23,9°
VstupnĂ­ rychlost: 38,0 km/s
Rektascenze radiantu: 07:05 (106,4°)
Deklinace radiantu: 34,9°
MeteorickĂ˝ roj: Geminidy
Elementy dráhy meteoroidu:
Vzdálenost v periheliu: 0,152 AU
Excentricita: 0,910
Sklon dráhy: 28,2°
Délka vzestupného uzlu: 257,0°
Argument perihelia: 320,9°
Střední anomálie: 343,6°
Epocha: 2023 DEC 09 16:38:59
orbit plot

NeinteraktivnĂ­ graf | InteraktivnĂ­ graf

position vs time
speed and acceleration