🇳🇴 🇬🇧 🇩🇪 🇨🇿 🇫🇮

Meteor Evenskjerin yllä 2023-12-09 16:38:59 UTC

KML-tiedosto  |  Interaktiivinen kartta

Kartta näyttää meteorin suuntahavainnot. Vaaleammat viivat näyttävät suunnat havaintoasemilta meteorin ilmestyessä, ja tummemmat viivat näyttävät, missä se viimeksi nähtiin. Sininen nuoli näyttää meteorin näkyvän lennon.

static map
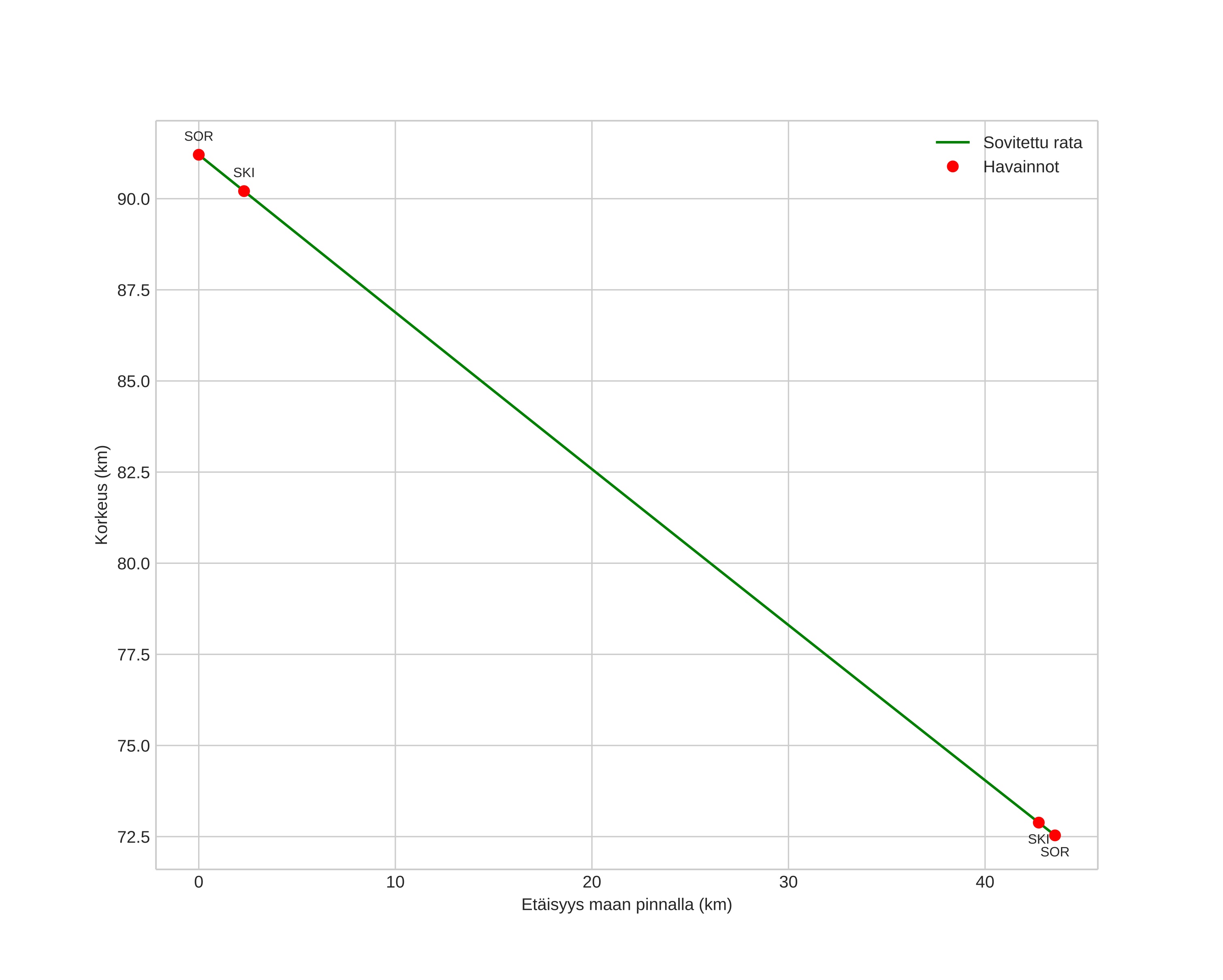
height profile
Meteorin ilmakehärata:
Alkukorkeus: 91,7 km
Loppukorkeus: 72,5 km
Alkupiste: 68,908N 17,513E
Loppupiste: 68,651N 16,701E
Suunta: 229,3°
Kallistuskulma: 23,9°
Tulonopeus: 38,0 km/s
Radiantin R,A,: 07:05 (106,4°)
Radiantin Dekl,: 34,9°
Meteoriparvi: Geminidit
Meteoroidin rataelementit:
Perihelietäisyys: 0,152 AU
Eksentrisyys: 0,910
Inklinaatio: 28,2°
Nousevan solmun pituus: 257,0°
Perihelin argumentti: 320,9°
Keskianomalia: 343,6°
Epookki: 2023 DEC 09 16:38:59
orbit plot

Ei-interaktiivinen kuvaaja | Interaktiivinen kuvaaja

position vs time
speed and acceleration