🇳🇴 🇬🇧 🇩🇪 🇨🇿 🇫🇮

Meteor, poloha: Burfjord 2023-12-09 18:33:47 UTC

Soubor KML  |  InteraktivnĂ­ mapa

Mapa zobrazuje dráhy meteoru. Světlejší čáry ukazují směry od pozorovacích stanic při objevení se meteoru a tmavší čáry, kde byl naposledy viděn. Modrá šipka značí viditelnou dráhu meteoru.

static map
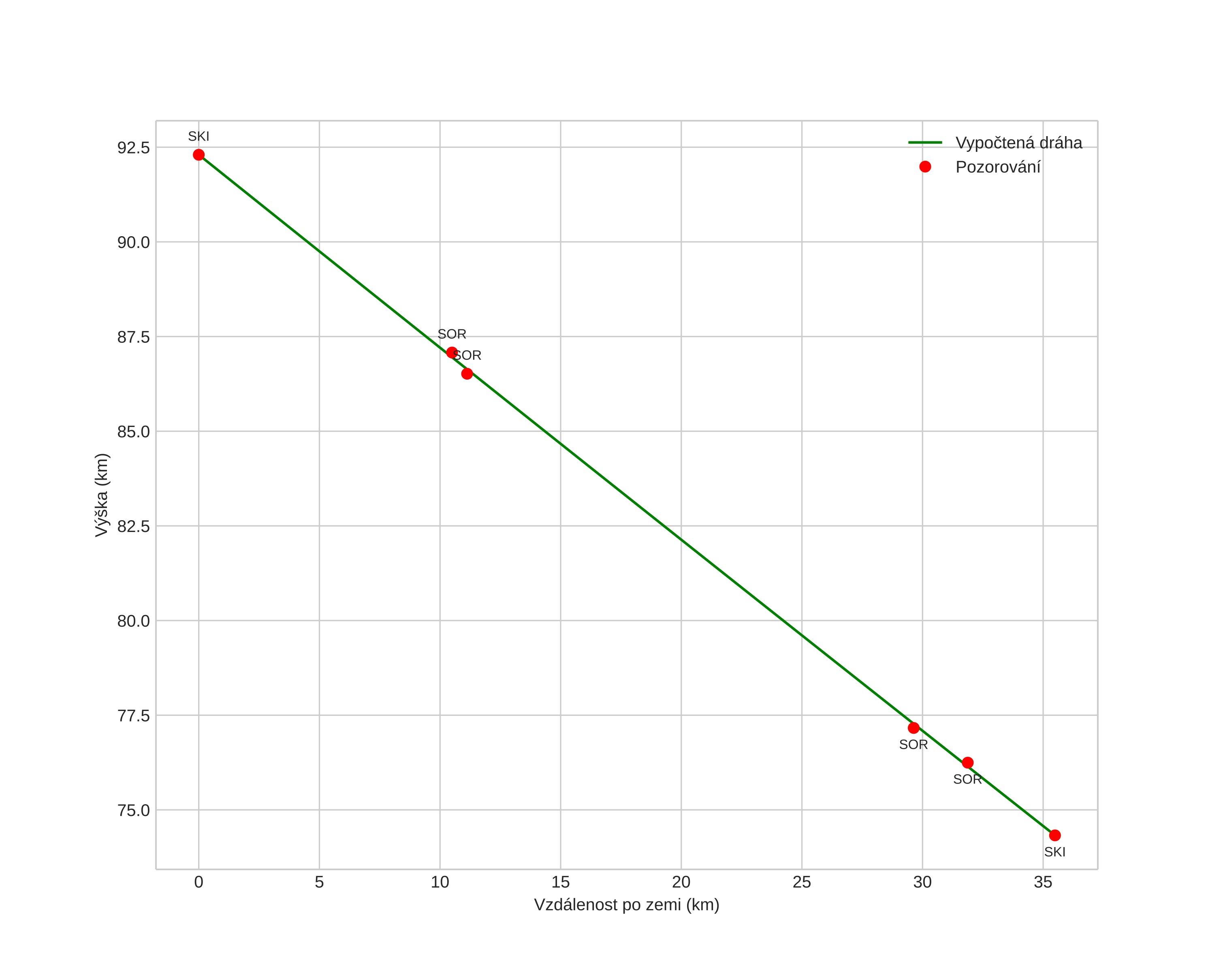
height profile
Atmosférická dráha meteoru:
Počáteční výška: 91,9 km
Konečná výška: 74,8 km
Počáteční poloha: 69,724N 22,926E
Konečná poloha: 69,915N 22,198E
Směr: 307,6°
Sklon: 26,0°
VstupnĂ­ rychlost: 22,9 km/s
Rektascenze radiantu: 04:28 (67,2°)
Deklinace radiantu: 8,1°
MeteorickĂ˝ roj: sporadickĂ˝
Elementy dráhy meteoroidu:
Vzdálenost v periheliu: 0,711 AU
Excentricita: 0,783
Sklon dráhy: 7,8°
Délka vzestupného uzlu: 77,1°
Argument perihelia: 68,5°
Střední anomálie: 353,4°
Epocha: 2023 DEC 09 18:33:47
orbit plot

NeinteraktivnĂ­ graf | InteraktivnĂ­ graf

position vs time
speed and acceleration