🇳🇴 🇬🇧 🇩🇪 🇨🇿 🇫🇮

Meteor Burfjordin yllä 2023-12-09 18:33:47 UTC

KML-tiedosto  |  Interaktiivinen kartta

Kartta näyttää meteorin suuntahavainnot. Vaaleammat viivat näyttävät suunnat havaintoasemilta meteorin ilmestyessä, ja tummemmat viivat näyttävät, missä se viimeksi nähtiin. Sininen nuoli näyttää meteorin näkyvän lennon.

static map
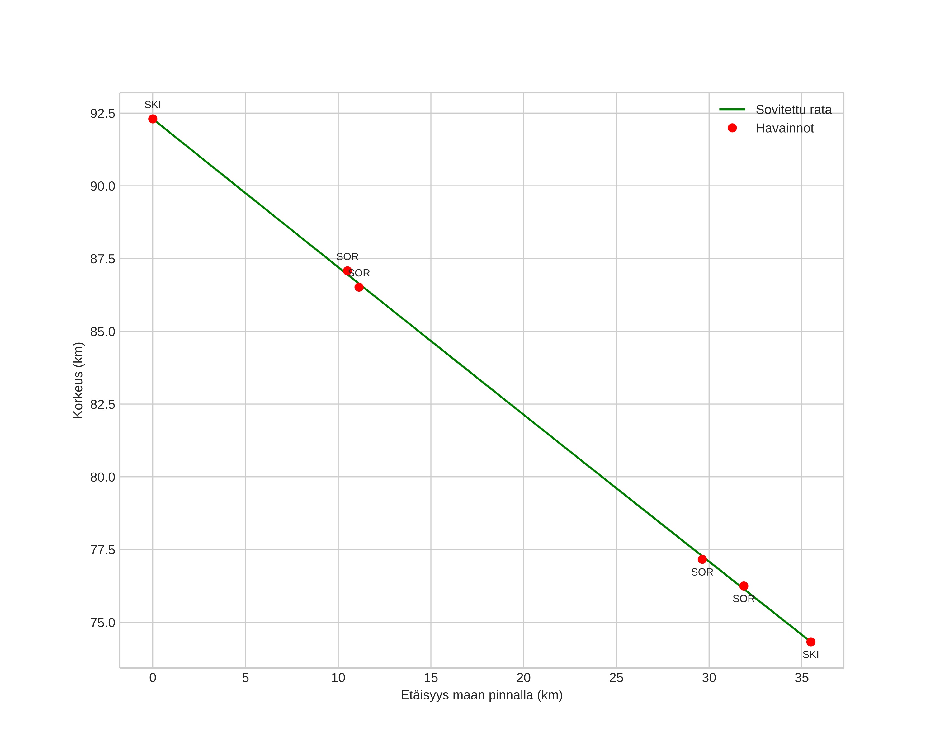
height profile
Meteorin ilmakehärata:
Alkukorkeus: 91,9 km
Loppukorkeus: 74,8 km
Alkupiste: 69,724N 22,926E
Loppupiste: 69,915N 22,198E
Suunta: 307,6°
Kallistuskulma: 26,0°
Tulonopeus: 22,9 km/s
Radiantin R,A,: 04:28 (67,2°)
Radiantin Dekl,: 8,1°
Meteoriparvi: Sporadinen
Meteoroidin rataelementit:
Perihelietäisyys: 0,711 AU
Eksentrisyys: 0,783
Inklinaatio: 7,8°
Nousevan solmun pituus: 77,1°
Perihelin argumentti: 68,5°
Keskianomalia: 353,4°
Epookki: 2023 DEC 09 18:33:47
orbit plot

Ei-interaktiivinen kuvaaja | Interaktiivinen kuvaaja

position vs time
speed and acceleration