🇳🇴 🇬🇧 🇩🇪 🇨🇿 🇫🇮

Meteor, poloha: Evenskjer 2023-12-09 22:54:45 UTC

Soubor KML  |  InteraktivnĂ­ mapa

Mapa zobrazuje dráhy meteoru. Světlejší čáry ukazují směry od pozorovacích stanic při objevení se meteoru a tmavší čáry, kde byl naposledy viděn. Modrá šipka značí viditelnou dráhu meteoru.

static map
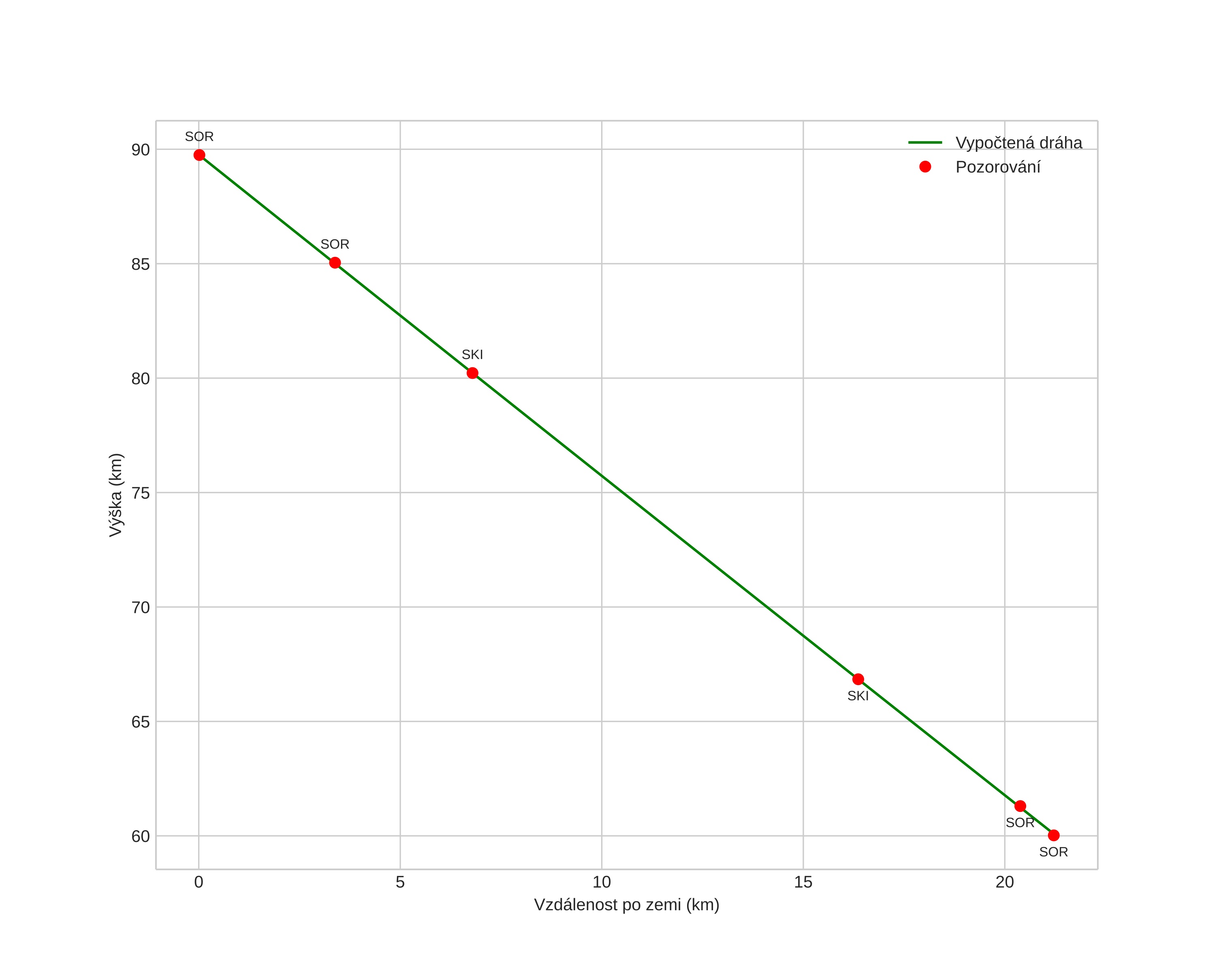
height profile
Atmosférická dráha meteoru:
Počáteční výška: 87,9 km
Konečná výška: 60,5 km
Počáteční poloha: 68,690N 16,303E
Konečná poloha: 68,678N 16,783E
Směr: 93,7°
Sklon: 54,7°
VstupnĂ­ rychlost: 20,5 km/s
Rektascenze radiantu: 00:38 (9,6°)
Deklinace radiantu: 47,5°
MeteorickĂ˝ roj: sporadickĂ˝
Elementy dráhy meteoroidu:
Vzdálenost v periheliu: 0,936 AU
Excentricita: 1,013
Sklon dráhy: 15,4°
Délka vzestupného uzlu: 257,3°
Argument perihelia: 205,6°
Střední anomálie: -0,0°
Epocha: 2023 DEC 09 22:54:45
orbit plot

NeinteraktivnĂ­ graf | InteraktivnĂ­ graf

position vs time
speed and acceleration