🇳🇴 🇬🇧 🇩🇪 🇨🇿 🇫🇮

Meteor Evenskjerin yllä 2023-12-09 22:54:45 UTC

KML-tiedosto  |  Interaktiivinen kartta

Kartta näyttää meteorin suuntahavainnot. Vaaleammat viivat näyttävät suunnat havaintoasemilta meteorin ilmestyessä, ja tummemmat viivat näyttävät, missä se viimeksi nähtiin. Sininen nuoli näyttää meteorin näkyvän lennon.

static map
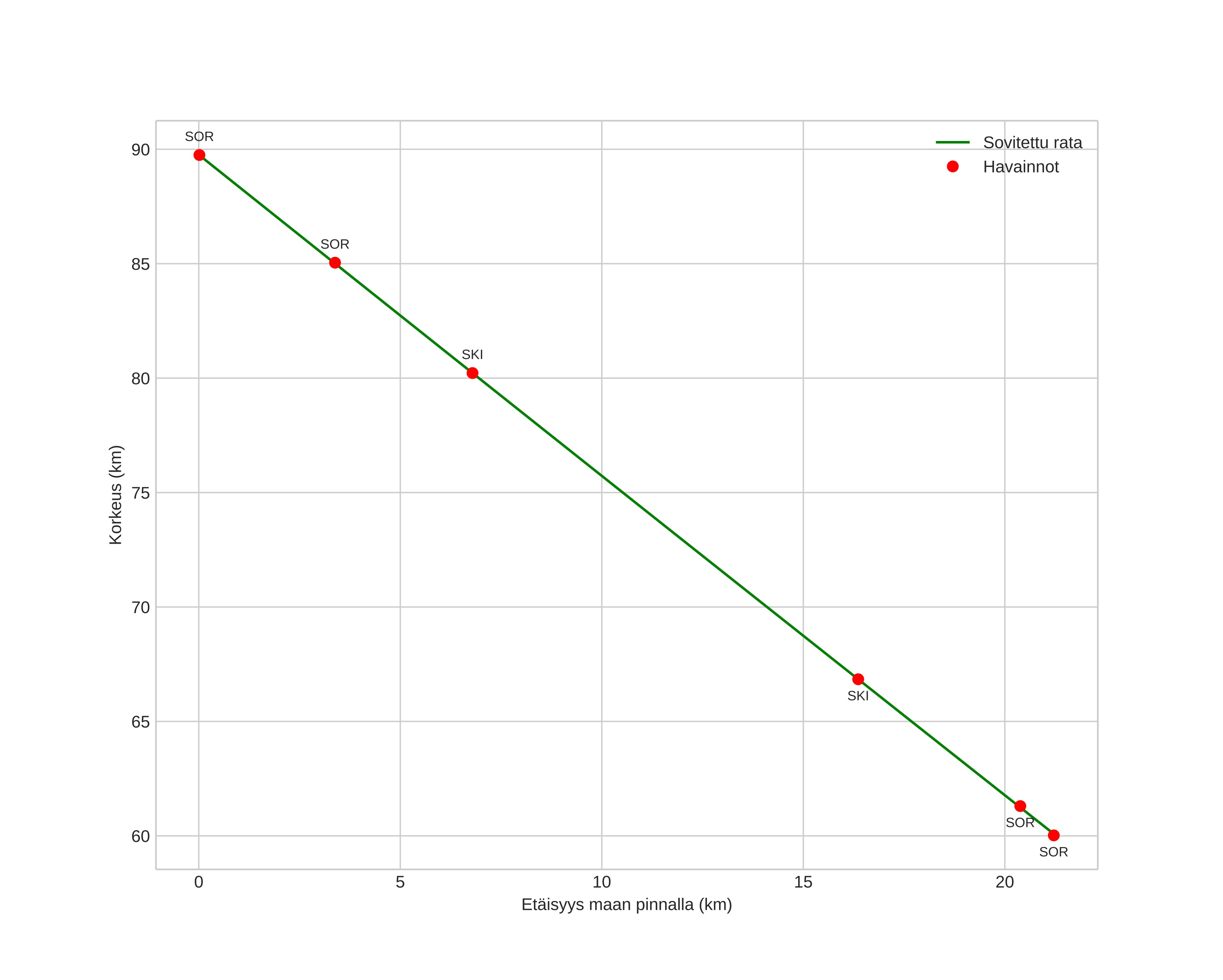
height profile
Meteorin ilmakehärata:
Alkukorkeus: 87,9 km
Loppukorkeus: 60,5 km
Alkupiste: 68,690N 16,303E
Loppupiste: 68,678N 16,783E
Suunta: 93,7°
Kallistuskulma: 54,7°
Tulonopeus: 20,5 km/s
Radiantin R,A,: 00:38 (9,6°)
Radiantin Dekl,: 47,5°
Meteoriparvi: Sporadinen
Meteoroidin rataelementit:
Perihelietäisyys: 0,936 AU
Eksentrisyys: 1,013
Inklinaatio: 15,4°
Nousevan solmun pituus: 257,3°
Perihelin argumentti: 205,6°
Keskianomalia: -0,0°
Epookki: 2023 DEC 09 22:54:45
orbit plot

Ei-interaktiivinen kuvaaja | Interaktiivinen kuvaaja

position vs time
speed and acceleration