🇳🇴 🇬🇧 🇩🇪 🇨🇿 🇫🇮

Meteor, poloha: Kárášjohka 2023-12-12 00:01:29 UTC

Soubor KML  |  InteraktivnĂ­ mapa

Mapa zobrazuje dráhy meteoru. Světlejší čáry ukazují směry od pozorovacích stanic při objevení se meteoru a tmavší čáry, kde byl naposledy viděn. Modrá šipka značí viditelnou dráhu meteoru.

static map
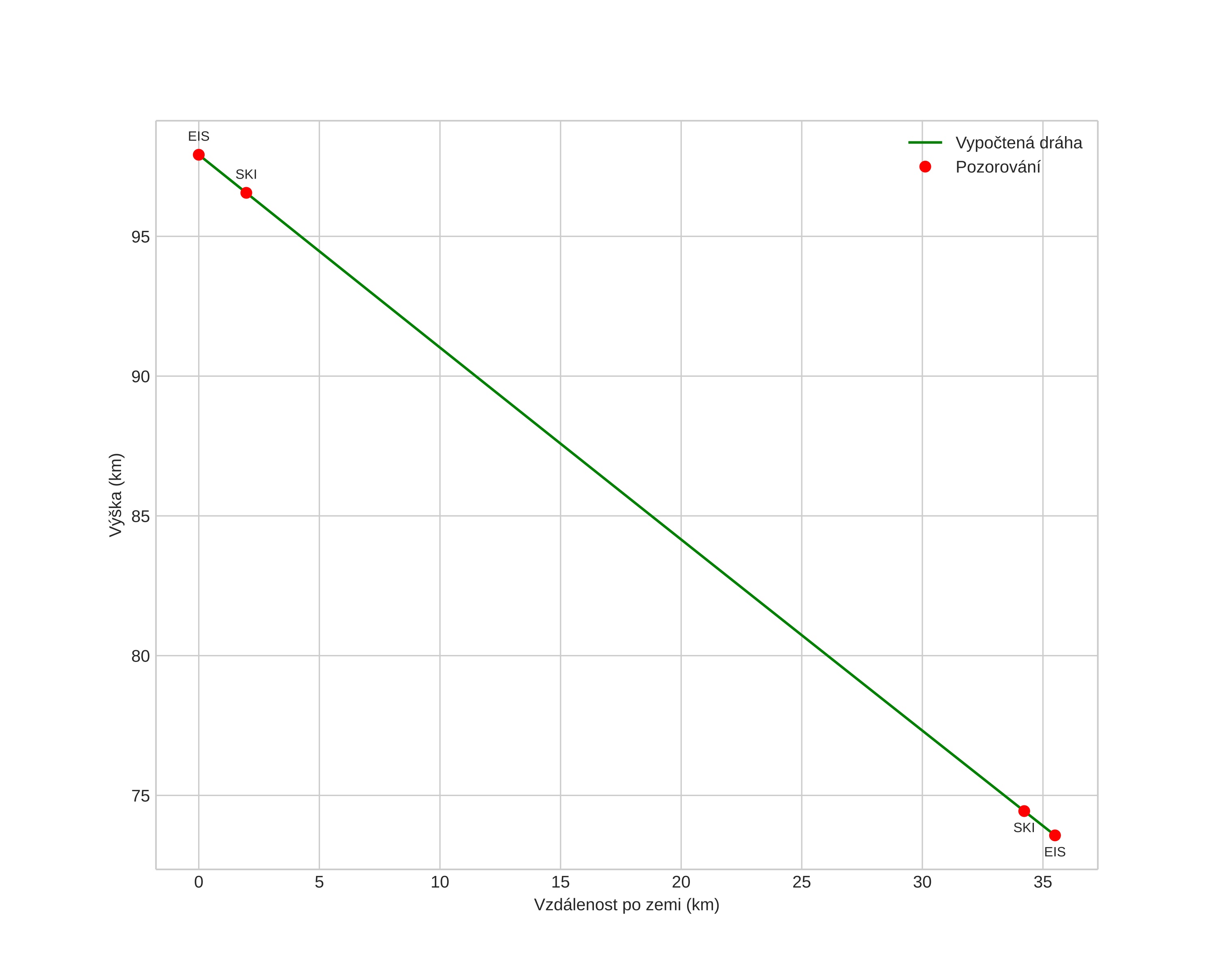
height profile
Atmosférická dráha meteoru:
Počáteční výška: 97,9 km
Konečná výška: 73,4 km
Počáteční poloha: 68,485N 24,752E
Konečná poloha: 68,791N 24,933E
Směr: 12,1°
Sklon: 35,2°
VstupnĂ­ rychlost: 35,6 km/s
Rektascenze radiantu: 06:18 (94,6°)
Deklinace radiantu: 12,5°
MeteorickĂ˝ roj: Monocerotidy
Elementy dráhy meteoroidu:
Vzdálenost v periheliu: 0,287 AU
Excentricita: 0,918
Sklon dráhy: 16,5°
Délka vzestupného uzlu: 79,4°
Argument perihelia: 118,7°
Střední anomálie: 354,2°
Epocha: 2023 DEC 12 00:01:29
orbit plot

NeinteraktivnĂ­ graf | InteraktivnĂ­ graf

position vs time
speed and acceleration