🇳🇴 🇬🇧 🇩🇪 🇨🇿 🇫🇮

Meteor über Kárášjohka 2023-12-12 00:01:29 UTC

KML-Datei  |  Interaktive Karte

Die Karte zeigt die Peilungen für den Meteor. Die helleren Linien zeigen die Richtungen von den Beobachtungsorten beim Erscheinen des Meteors, und die dunkleren Linien, wo er zuletzt gesehen wurde. Der blaue Pfeil zeigt die sichtbare Bahn des Meteors.

static map
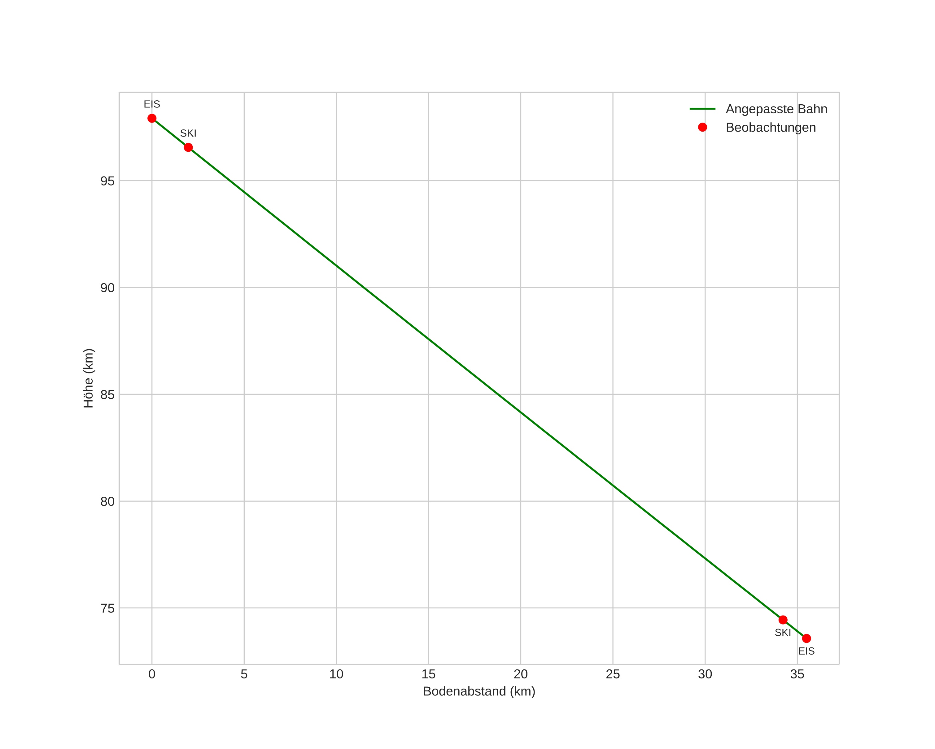
height profile
Atmosphärische Bahn des Meteors:
Anfangshöhe: 97,9 km
Endhöhe: 73,4 km
Startposition: 68,485N 24,752E
Endposition: 68,791N 24,933E
Richtung: 12,1°
Neigungswinkel: 35,2°
Eintrittsgeschwindigkeit: 35,6 km/s
Rektaszension des Radianten: 06:18 (94,6°)
Deklination des Radianten: 12,5°
Meteorstrom: Monocerotiden
Bahnelemente des Meteoroiden:
Periheldistanz: 0,287 AU
Exzentrizität: 0,918
Inklination: 16,5°
Länge des aufsteigenden Knotens: 79,4°
Argument des Perihels: 118,7°
Mittlere Anomalie: 354,2°
Epoche: 2023 DEC 12 00:01:29
orbit plot

Nicht-interaktives Diagramm | Interaktives Diagramm

position vs time
speed and acceleration