🇳🇴 🇬🇧 🇩🇪 🇨🇿 🇫🇮

Meteor, poloha: Lyngseidet 2023-12-12 03:06:58 UTC

Soubor KML  |  InteraktivnĂ­ mapa

Mapa zobrazuje dráhy meteoru. Světlejší čáry ukazují směry od pozorovacích stanic při objevení se meteoru a tmavší čáry, kde byl naposledy viděn. Modrá šipka značí viditelnou dráhu meteoru.

static map
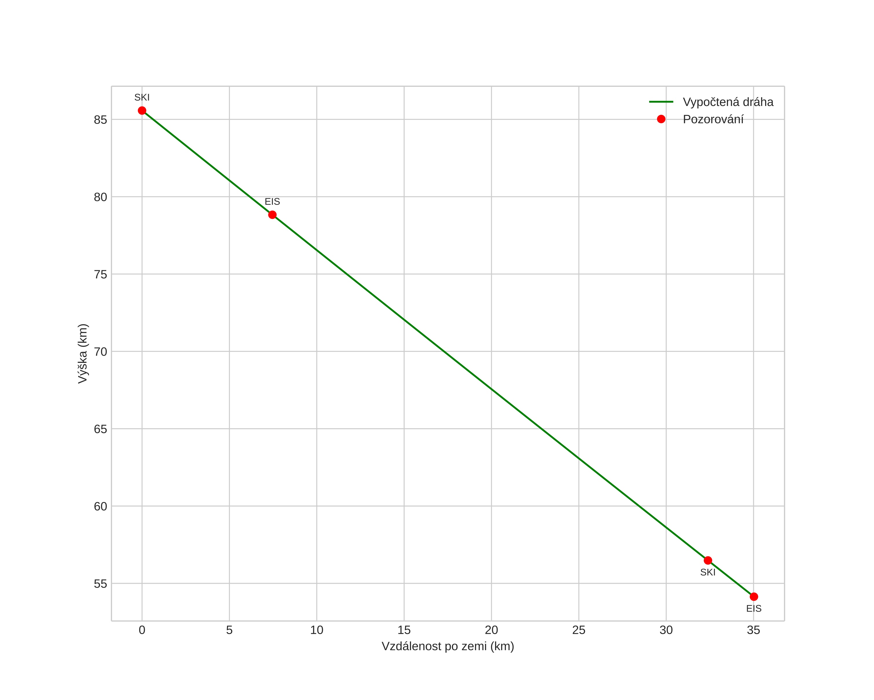
height profile
Atmosférická dráha meteoru:
Počáteční výška: 86,2 km
Konečná výška: 54,3 km
Počáteční poloha: 70,192N 20,456E
Konečná poloha: 69,885N 20,192E
Směr: 196,5°
Sklon: 41,9°
VstupnĂ­ rychlost: 27,7 km/s
Rektascenze radiantu: 20:14 (303,5°)
Deklinace radiantu: 58,4°
MeteorickĂ˝ roj: sporadickĂ˝
Elementy dráhy meteoroidu:
Vzdálenost v periheliu: 0,985 AU
Excentricita: 1,229
Sklon dráhy: 32,6°
Délka vzestupného uzlu: 259,5°
Argument perihelia: 180,0°
Střední anomálie: 0,0°
Epocha: 2023 DEC 12 03:06:58
orbit plot

NeinteraktivnĂ­ graf | InteraktivnĂ­ graf

position vs time
speed and acceleration