🇳🇴 🇬🇧 🇩🇪 🇨🇿 🇫🇮

Meteor Lyngseidetin yllä 2023-12-12 03:06:58 UTC

KML-tiedosto  |  Interaktiivinen kartta

Kartta näyttää meteorin suuntahavainnot. Vaaleammat viivat näyttävät suunnat havaintoasemilta meteorin ilmestyessä, ja tummemmat viivat näyttävät, missä se viimeksi nähtiin. Sininen nuoli näyttää meteorin näkyvän lennon.

static map
height profile
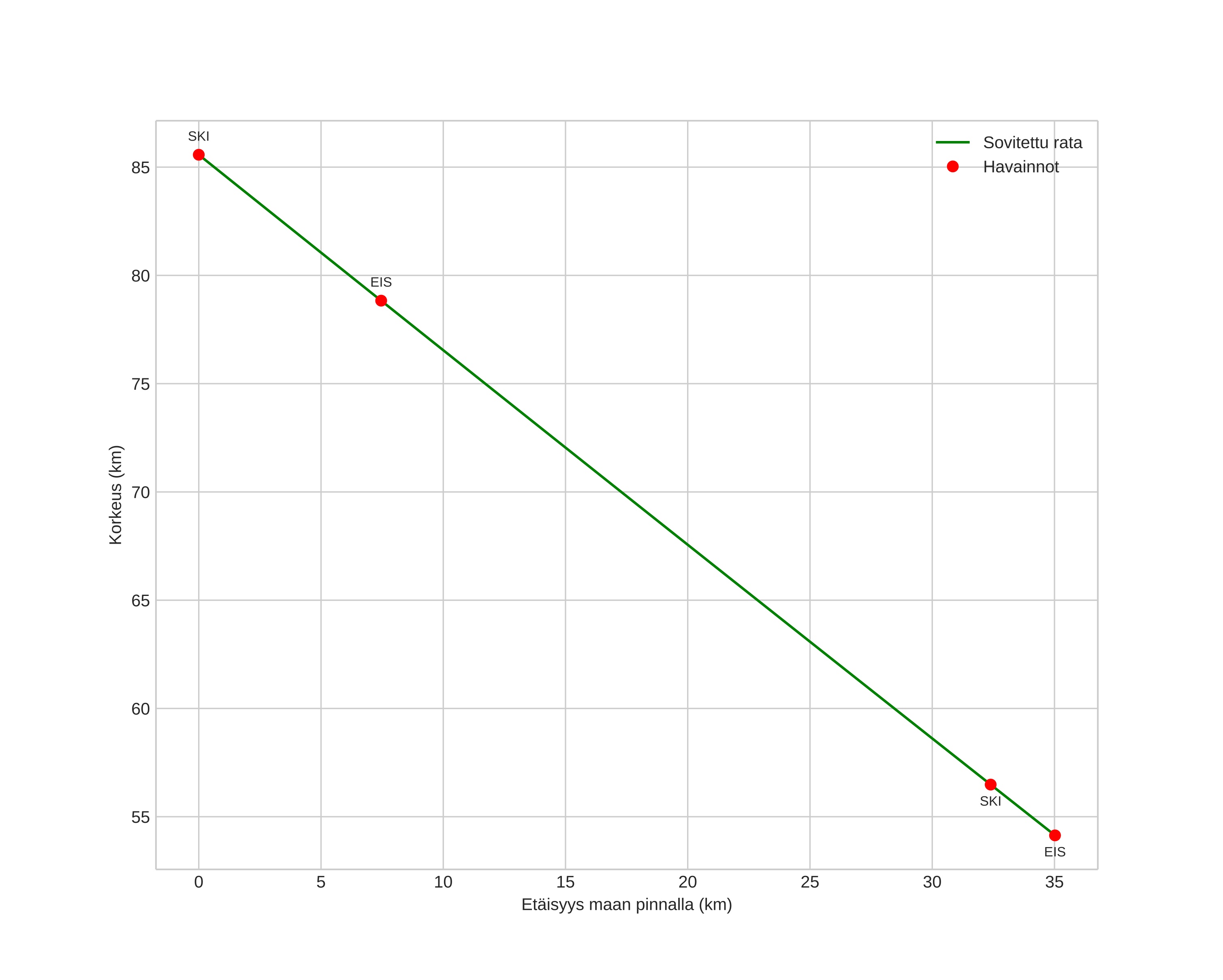
Meteorin ilmakehärata:
Alkukorkeus: 86,2 km
Loppukorkeus: 54,3 km
Alkupiste: 70,192N 20,456E
Loppupiste: 69,885N 20,192E
Suunta: 196,5°
Kallistuskulma: 41,9°
Tulonopeus: 27,7 km/s
Radiantin R,A,: 20:14 (303,5°)
Radiantin Dekl,: 58,4°
Meteoriparvi: Sporadinen
Meteoroidin rataelementit:
Perihelietäisyys: 0,985 AU
Eksentrisyys: 1,229
Inklinaatio: 32,6°
Nousevan solmun pituus: 259,5°
Perihelin argumentti: 180,0°
Keskianomalia: 0,0°
Epookki: 2023 DEC 12 03:06:58
orbit plot

Ei-interaktiivinen kuvaaja | Interaktiivinen kuvaaja

position vs time
speed and acceleration