🇳🇴 🇬🇧 🇩🇪 🇨🇿 🇫🇮

Meteor, poloha: Finnsnes 2023-12-12 04:25:57 UTC

Soubor KML  |  InteraktivnĂ­ mapa

Mapa zobrazuje dráhy meteoru. Světlejší čáry ukazují směry od pozorovacích stanic při objevení se meteoru a tmavší čáry, kde byl naposledy viděn. Modrá šipka značí viditelnou dráhu meteoru.

static map
height profile
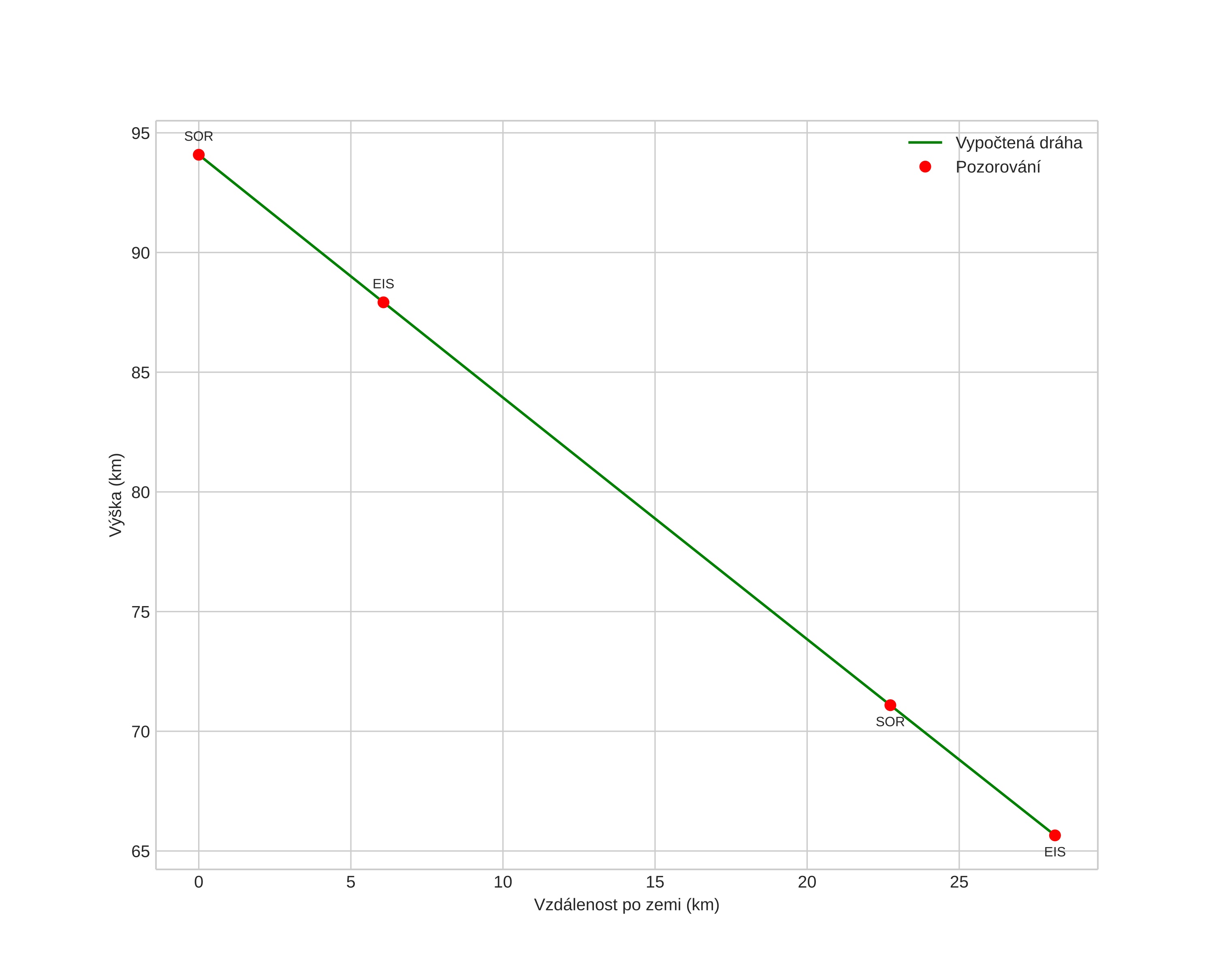
Atmosférická dráha meteoru:
Počáteční výška: 93,1 km
Konečná výška: 65,4 km
Počáteční poloha: 70,346N 17,143E
Konečná poloha: 70,448N 17,837E
Směr: 65,9°
Sklon: 44,4°
VstupnĂ­ rychlost: 35,6 km/s
Rektascenze radiantu: 07:24 (111,2°)
Deklinace radiantu: 32,8°
MeteorickĂ˝ roj: Geminidy
Elementy dráhy meteoroidu:
Vzdálenost v periheliu: 0,142 AU
Excentricita: 0,890
Sklon dráhy: 23,7°
Délka vzestupného uzlu: 259,5°
Argument perihelia: 324,8°
Střední anomálie: 334,8°
Epocha: 2023 DEC 12 04:25:57
orbit plot

NeinteraktivnĂ­ graf | InteraktivnĂ­ graf

position vs time
speed and acceleration