🇳🇴 🇬🇧 🇩🇪 🇨🇿 🇫🇮

Meteor Finnsnesin yllä 2023-12-12 04:25:57 UTC

KML-tiedosto  |  Interaktiivinen kartta

Kartta näyttää meteorin suuntahavainnot. Vaaleammat viivat näyttävät suunnat havaintoasemilta meteorin ilmestyessä, ja tummemmat viivat näyttävät, missä se viimeksi nähtiin. Sininen nuoli näyttää meteorin näkyvän lennon.

static map
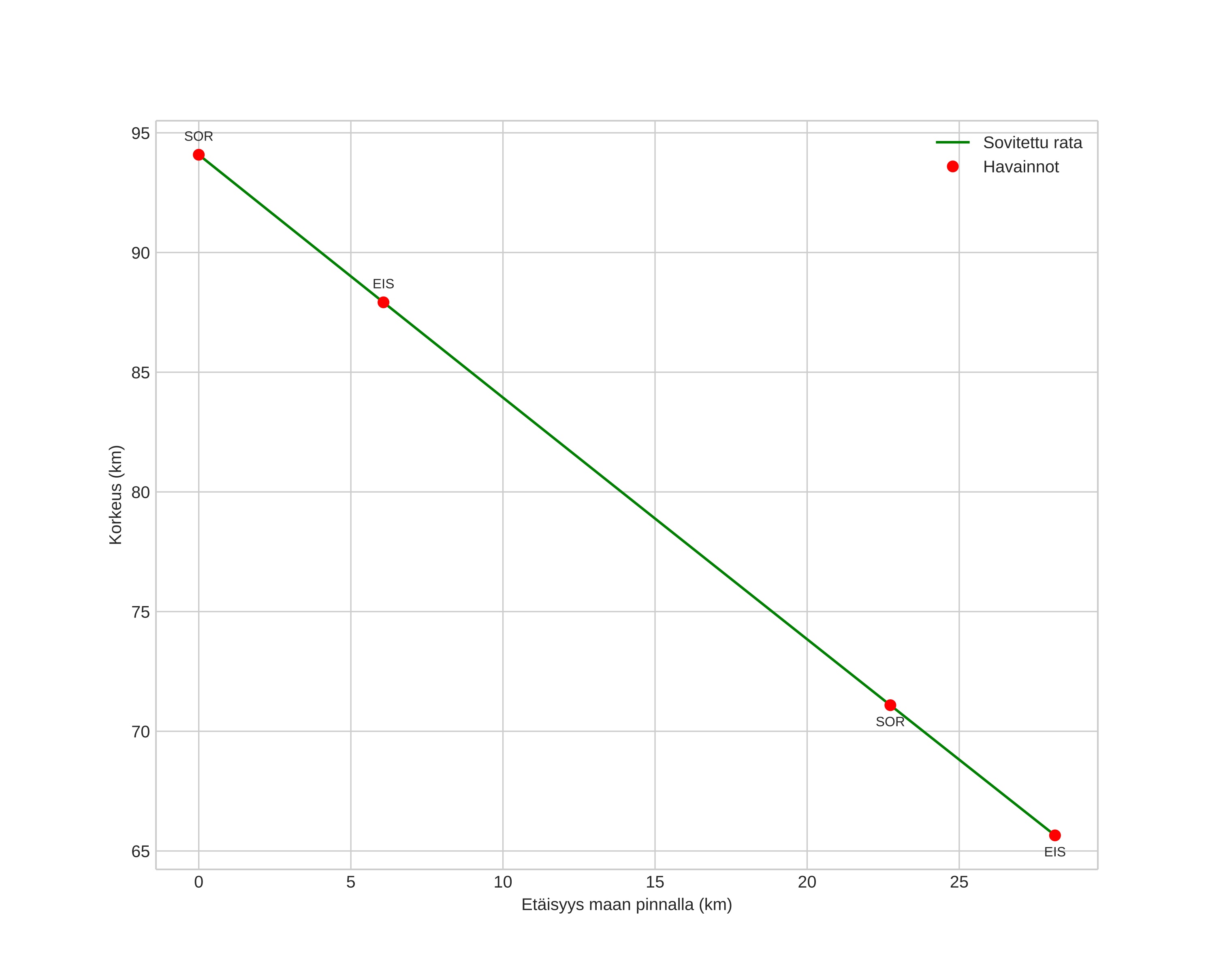
height profile
Meteorin ilmakehärata:
Alkukorkeus: 93,1 km
Loppukorkeus: 65,4 km
Alkupiste: 70,346N 17,143E
Loppupiste: 70,448N 17,837E
Suunta: 65,9°
Kallistuskulma: 44,4°
Tulonopeus: 35,6 km/s
Radiantin R,A,: 07:24 (111,2°)
Radiantin Dekl,: 32,8°
Meteoriparvi: Geminidit
Meteoroidin rataelementit:
Perihelietäisyys: 0,142 AU
Eksentrisyys: 0,890
Inklinaatio: 23,7°
Nousevan solmun pituus: 259,5°
Perihelin argumentti: 324,8°
Keskianomalia: 334,8°
Epookki: 2023 DEC 12 04:25:57
orbit plot

Ei-interaktiivinen kuvaaja | Interaktiivinen kuvaaja

position vs time
speed and acceleration